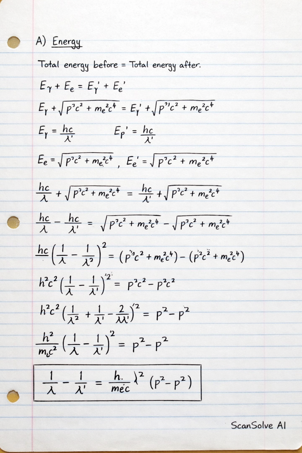
A) Energy
During Compton scattering, a photon interacts with a charged particle (usually an electron). In this process, the total energy of the system (photon + electron) is conserved. This includes the energy of the photon and the relativistic energy of the electron (which includes its rest mass energy and kinetic energy). The photon transfers some of its energy and momentum to the electron, causing the photon's wavelength to increase. The conservation of both energy and momentum are fundamental principles used to derive the Compton shift formula. While total momentum and total charge are also conserved, energy is a primary quantity whose conservation is central to understanding the energy transfer in the Compton effect.
That's 2 down. 3 left today — send the next one.