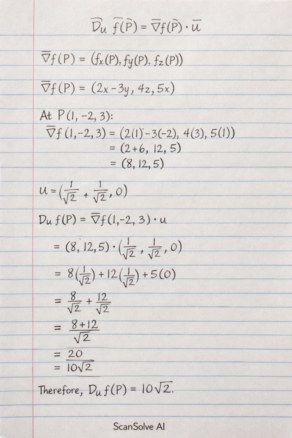
What is the meaning of directional derivative of a function
This computer science problem involves algorithmic thinking and programming concepts. The solution below explains the approach, logic, and implementation step by step.
This computer science problem involves algorithmic thinking and programming concepts. The solution below explains the approach, logic, and implementation step by step.
ScanSolve AI Answer
The directional derivative of a function at a point in the direction of a unit vector represents the instantaneous rate of change of the function at point as one moves in the direction of . It generalizes the concept of partial derivatives, which only measure the rate of change along the coordinate axes.
It is calculated as the dot product of the gradient of at and the unit vector :
Get instant step-by-step solutions to any question. Free to start.
Ask Your Question
Handwritten Step-by-Step Solution
Get this solution as a handwritten image on WhatsApp — just like a tutor wrote it for you.
Try on WhatsApp