Solve using dynamic programming method of reliability improvement problem
This computer science problem involves algorithmic thinking and programming concepts. The solution below explains the approach, logic, and implementation step by step.
This computer science problem involves algorithmic thinking and programming concepts. The solution below explains the approach, logic, and implementation step by step.
ScanSolve AI Answer
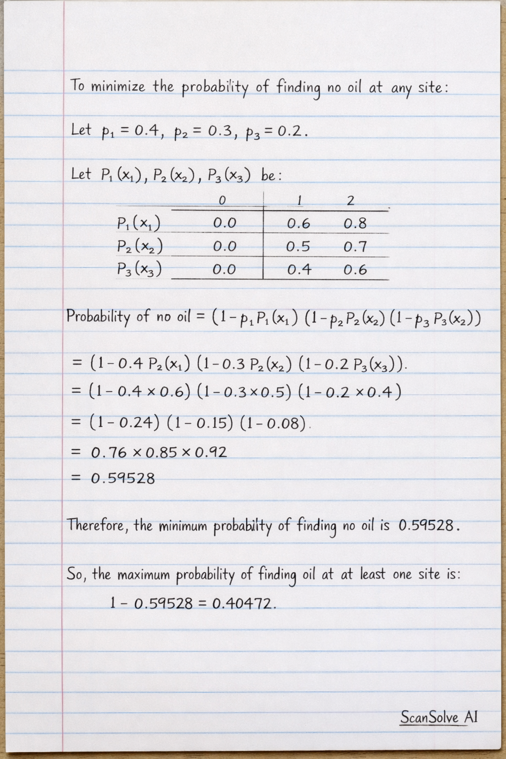
To solve this problem using dynamic programming, we want to maximize the probability of finding oil at at least one site. This is equivalent to minimizing the probability of finding no oil at any site.
Let be the prior probability that oil exists at site . , , .
Let be the conditional probability of finding oil at site given units are allocated to it and oil exists at site . These values are given in the table.
The probability of finding oil at site with allocation is $p_i \
Get instant step-by-step solutions to any question. Free to start.
Ask Your Question
Handwritten Step-by-Step Solution
Get this solution as a handwritten image on WhatsApp — just like a tutor wrote it for you.
Try on WhatsApp