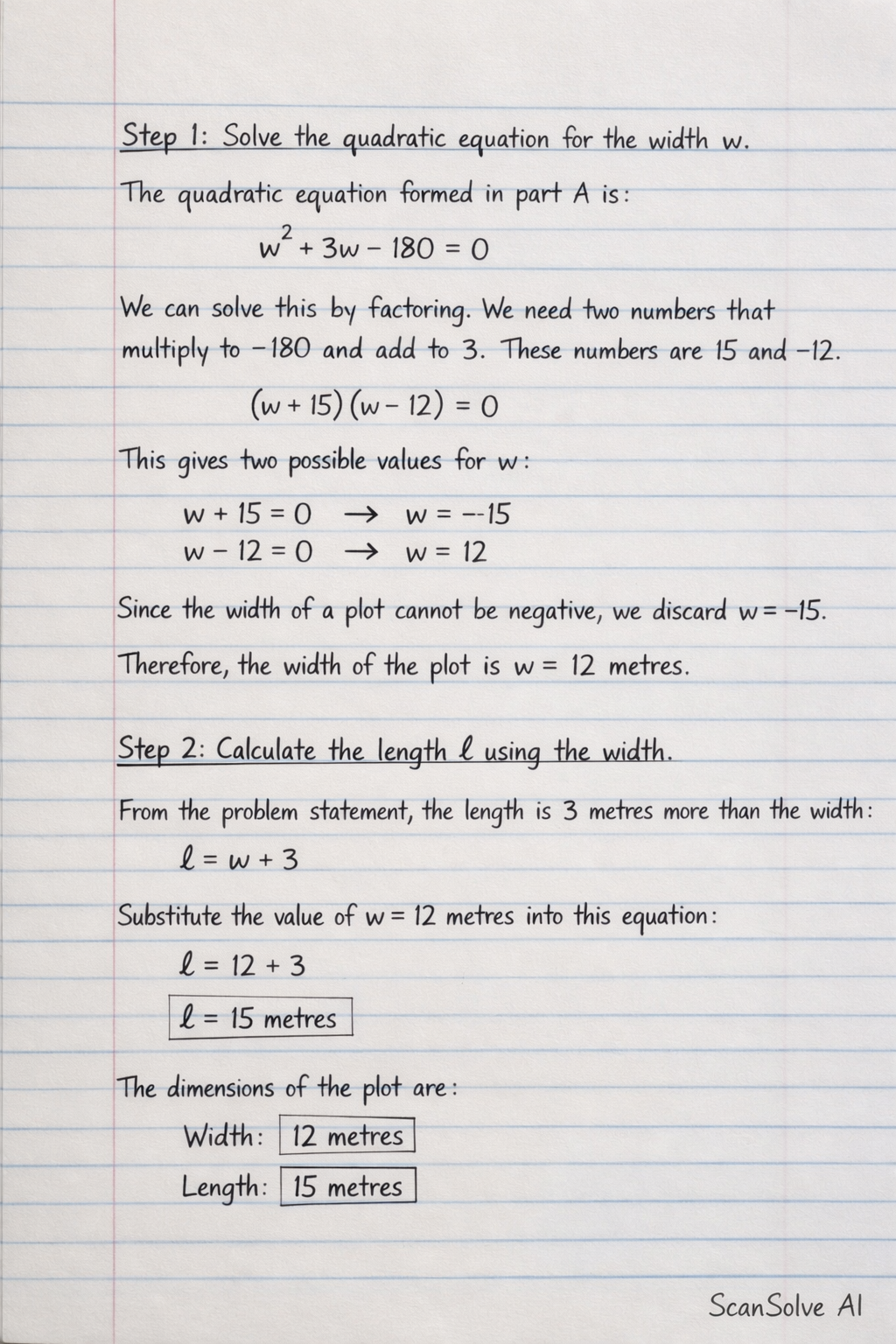
B,solve the equation to find the dimension of the plot
This English question involves literary analysis, grammar, or writing skills. The detailed response below provides a well-structured answer with supporting evidence and clear explanations.
This English question involves literary analysis, grammar, or writing skills. The detailed response below provides a well-structured answer with supporting evidence and clear explanations.
ScanSolve AI Answer
Step 1: Solve the quadratic equation for the width . The quadratic equation formed in part A is: We can solve this by factoring. We need two numbers that multiply to -180 and add to 3. These numbers are 15 and -12. This gives two possible values for : Since the width of a plot cannot be negative, we discard . Therefore, the width of the plot is .
Step 2: Calculate the length using the width. From the problem statement, the length is 3 metres more than the width: Substitute the value of metres into this equation:
The dimensions of the plot are: Width: Length:
3 done, 2 left today. You're making progress.
Get instant step-by-step solutions to any question. Free to start.
Ask Your Question
Handwritten Step-by-Step Solution
Get this solution as a handwritten image on WhatsApp — just like a tutor wrote it for you.
Try on WhatsApp