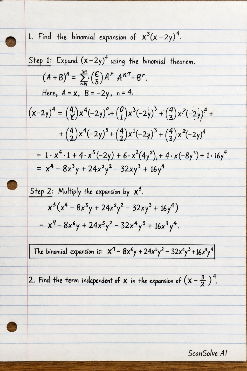
1. Find the binomial expansion of x3(x−2y)4.
-
Step 1: Expand (x−2y)4 using the binomial theorem.
The binomial theorem states that (A+B)n=∑r=0n(rn)An−rBr.
Here, A=x, B=−2y, and n=4.
(x−2y)4=(04)x4(−2y)0+(14)x3(−2y)1+(24)x2(−2y)2+(34)x1(−2y)3+(44)x0(−2y)4
=1⋅x4⋅1+4⋅x3⋅(−2y)+6⋅x2⋅(4y2)+4⋅x⋅(−8y3)+1⋅1⋅(16y4)
=x4−8x3y+24x2y2−32xy3+16y4
-
Step 2: Multiply the expansion by x3.
x3(x4−8x3y+24x2y2−32xy3+16y4)
=x3⋅x4−x3⋅8x3y+x3⋅24x2y2−x3⋅32xy3+x3⋅16y4
=x7−8x6y+24x5y2−32x4y3+16x3y4
The binomial expansion is x7−8x6y+24x5y2−32x4y3+16x3y4.
2. Find the term independent of x in the expansion of (x−x3)4.
-
Step 1: Write the general term of the expansion.
The general term Tr+1 in the expansion of (A+B)n is given by Tr+1=(rn)An−rBr.
Here, A=x, B=−x3=−3x−1, and n=4.
Tr+1=(r4)(x)4−r(−3x−1)r
Tr+1=(r4)x4−r(−3)r(x−1)r
Tr+1=(r4)(−3)rx4−r−r
Tr+1=(r4)(−3)rx4−2r
-
Step 2: Find the value of r for the term independent of x.
For the term to be independent of x, the power of x must be 0.
4−2r=0
2r=4
r=2
-
Step 3: Substitute r=2 into the general term to find the term.
T2+1=T3=(24)(−3)2x4−2(2)
T3=6⋅(9)⋅x0
T3=54⋅1
T3=54
The term independent of x is 54.
3. Find the first three terms in ascending powers of y in the expansion of (1−y)31.
-
Step 1: Use the generalized binomial theorem.
The generalized binomial theorem for (1+x)n is 1+nx+2!n(n−1)x2+….
Here, x=−y and n=31.
-
Step 2: Calculate the first term.
The first term is 1.
-
Step 3: Calculate the second term.
nx=(31)(−y)=−31y
-
Step 4: Calculate the third term.
2!n(n−1)x2=2⋅131(31−1)(−y)2
=231(−32)y2
=2−92y2
=−91y2
-
Step 5: Combine the first three terms.
The first three terms in ascending powers of y are 1−31y−91y2.
4. Find the coefficient of x−3 in the expansion of (x+1)(2x−x1)3.
- Step 1: Expand (2x−x1)3.
Let A=2x and B=−x1=−x−1. Using (A+B)3=A3+3A2B+3AB2+B3:
(2x−x−1)3=(2x)3+3(2x)2(−x−1)+3(2x)(−x−1)2+(−x−1)3
=8x3+3(4x2)(−x−1)+3(2x)(x−2)−x−3