6. Find (dy)/(dx) if:
This mathematics problem involves applying core mathematical principles and formulas. Below you will find a complete step-by-step solution with detailed explanations for each step, helping you understand not just the answer but the method behind it.
ScanSolve AI Answer
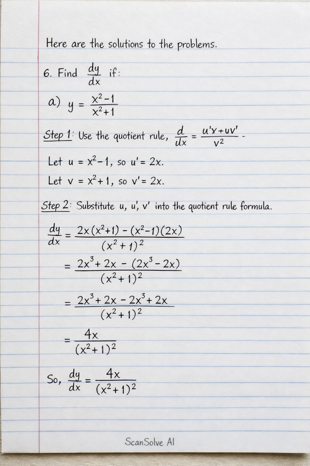
Here are the solutions to the problems.
6. Find $\frac{dy}{dx}$ if:
a) $y = \frac{x^2 - 1}{x^2 + 1}$
Step 1: Use the quotient rule, $\frac{d}{dx}\left(\frac{u}{v}\right) = \frac{u'v - uv'}{v^2}$.
Let $u = x^2 - 1$, so $u' = 2x$.
Let $v = x^2 + 1$, so $v' = 2x$.
Step 2: Substitute $u, u', v, v'$ into the quotient rule formula.
$$ \frac{dy}{dx} = \frac{(

