You're on a roll — Here are the solutions for the differentiation problems:
-
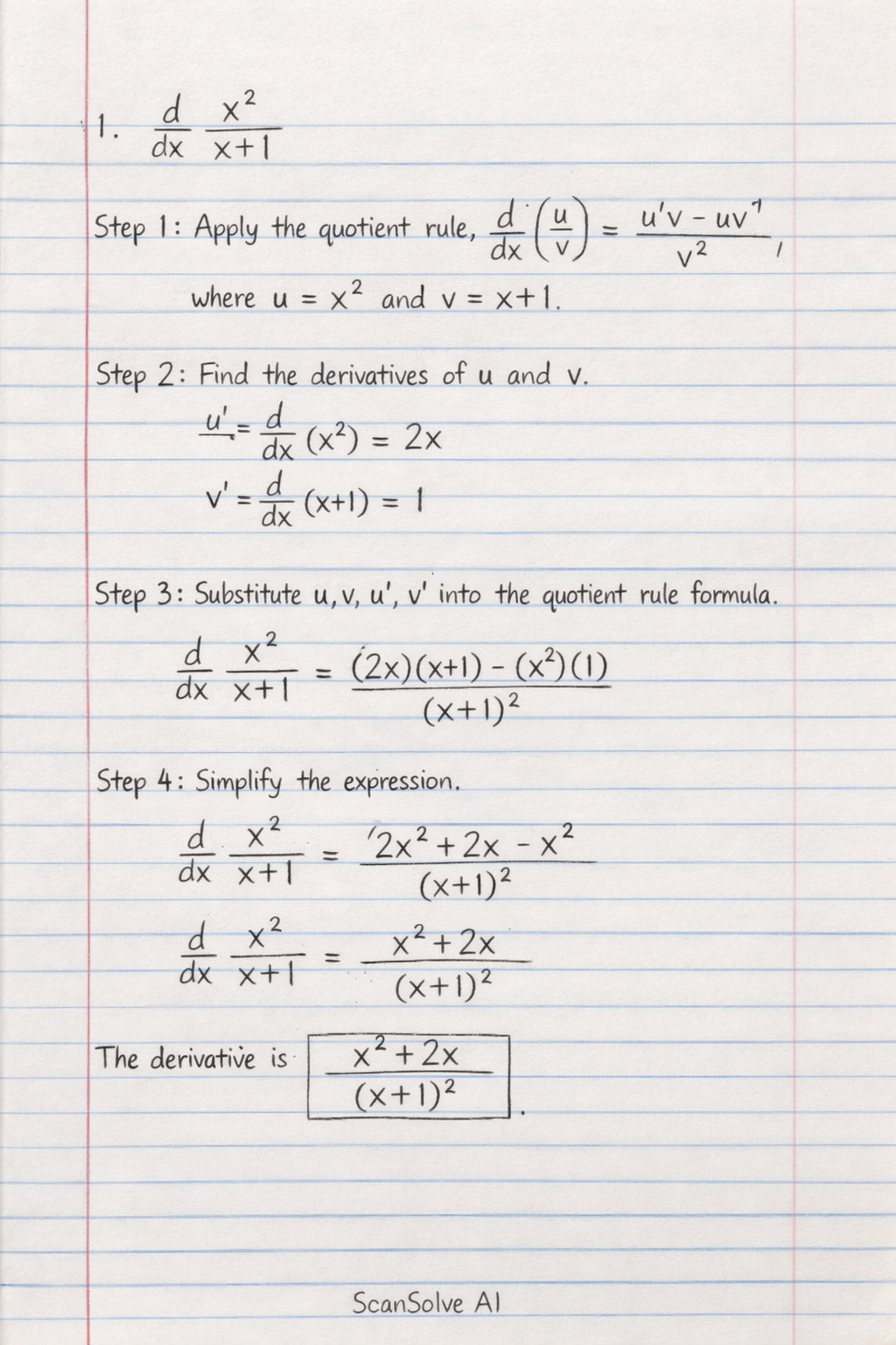
dxd(x+1x2)
Step 1: Apply the quotient rule, dxd(vu)=v2u′v−uv′, where u=x2 and v=x+1.
Step 2: Find the derivatives of u and v.
u′=dxd(x2)=2x
v′=dxd(x+1)=1
Step 3: Substitute u,v,u′,v′ into the quotient rule formula.
dxd(x+1x2)=(x+1)2(2x)(x+1)−(x2)(1)
Step 4: Simplify the expression.
dxd(x+1x2)=(x+1)22x2+2x−x2
dxd(x+1x2)=(x+1)2x2+2x
The derivative is (x+1)2x2+2x.
-
dxd(xsinx)
Step 1: Apply the quotient rule, dxd(vu)=v2u′v−uv′, where u=sinx and v=x.
Step 2: Find the derivatives of u and v.
u′=dxd(sinx)=cosx
v′=dxd(x)=1
Step 3: Substitute u,v,u′,v′ into the quotient rule formula.
dxd(xsinx)=x2(cosx)(x)−(sinx)(1)
Step 4: Simplify the expression.
dxd(xsinx)=x2xcosx−sinx
The derivative is x2xcosx−sinx.
-
dxd(x2+1x3)
Step 1: Apply the quotient rule, dxd(vu)=v2u′v−uv′, where u=x3 and v=x2+1.
Step 2: Find the derivatives of u and v.
u′=dxd(x3)=3x2
v′=dxd(x2+1)=2x
Step 3: Substitute u,v,u′,v′ into the quotient rule formula.
dxd(x2+1x3)=(x2+1)2(3x2)(x2+1)−(x3)(2x)
Step 4: Simplify the expression.
dxd(x2+1x3)=(x2+1)23x4+3x2−2x4
dxd(x2+1x3)=(x2+1)2x4+3x2
The derivative is (x2+1)2x4+3x2.
-
dxd(xlnx)
Step 1: Apply the quotient rule, dxd(vu)=v2u′v−uv′, where u=lnx and v=x.
Step 2: Find the derivatives of u and v.
u′=dxd(lnx)=x1
v′=dxd(x)=1
Step 3: Substitute u,v,u′,v′ into the quotient rule formula.
dxd(xlnx)=x2(x1)(x)−(lnx)(1)
Step 4: Simplify the expression.
dxd(xlnx)=x21−lnx
The derivative is x21−lnx.
Got more? Send 'em 📸