7. Write down in its simplest form the complete expansion of (x−21)6. Hence, by taking x=4001 in this expansion, show that (400199)6=0.01516, correct to five places of decimals.
-
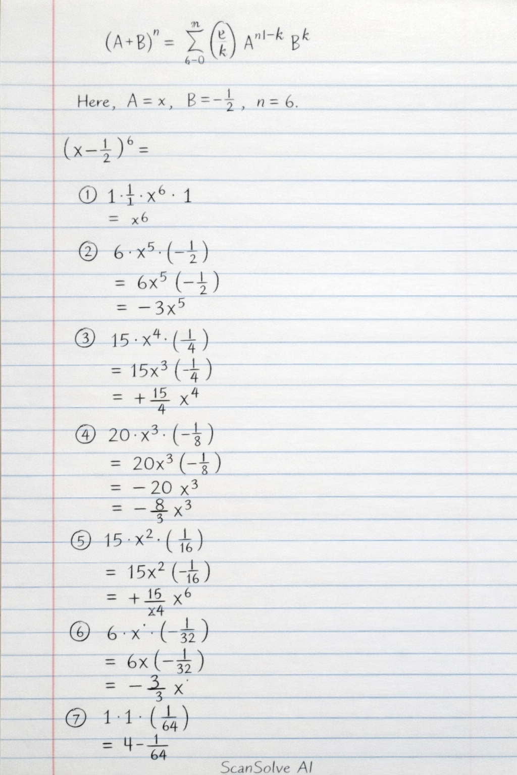
Part 1: Complete expansion of (x−21)6.
Using the binomial theorem (A+B)n=∑k=0n(kn)An−kBk with A=x, B=−21, and n=6:
(x−21)6=(06)x6(−21)0+(16)x5(−21)1+(26)x4(−21)2+(36)x3(−21)3+(46)x2(−21)4+(56)x1(−21)5+(66)x0(−21)6
Calculate the binomial coefficients and powers of −21:
=1⋅x6⋅1+6⋅x5⋅(−21)+15⋅x4⋅(41)+20⋅x3⋅(−81)+15⋅x2⋅(161)+6⋅x1⋅(−321)+1⋅x0⋅(641)
Simplify each term:
=x6−3x5+415x4−25x3+1615x2−163x+641
The complete expansion is x6−3x5+415x4−25x3+1615x2−163x+641.
-
Part 2: Show that (400199)6=0.01516 by taking x=4001.
Substitute x=4001 into the expression (x−21)6:
(4001−21)6=(4001−400200)6=(−400199)6=(400199)6
Now substitute x=4001 into the expanded form:
(4001)6−3(4001)5+415(4001)4−25(4001)3+1615(4001)2−163(4001)+641
Evaluate each term:
(4001)6≈2.44×10−16
−3(4001)5≈−2.86×10−13
415(4001)4≈1.46×10−10
−25(4001)3≈−3.91×10−8