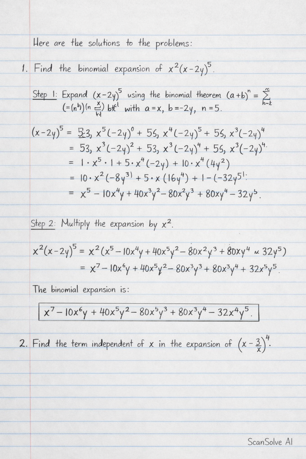
Here are the solutions to the problems:
1. Find the binomial expansion of x2(x−2y)5.
Step 1: Expand (x−2y)5 using the binomial theorem (a+b)n=∑k=0n(kn)an−kbk with a=x, b=−2y, and n=5.
(x−2y)5=(05)x5(−2y)0+(15)x4(−2y)1+(25)x3(−2y)2+(35)x2(−2y)3+(45)x1(−2y)4+(55)x0(−2y)5
=1⋅x5⋅1+5⋅x4⋅(−2y)+10⋅x3⋅(4y2)+10⋅x2⋅(−8y3)+5⋅x⋅(16y4)+1⋅1⋅(−32y5)
=x5−10x4y+40x3y2−80x2y3+80xy4−32y5
Step 2: Multiply the expansion by x2.
x2(x−2y)5=x2(x5−10x4y+40x3y2−80x2y3+80xy4−32y5)
=x7−10x6y+40x5y2−80x4y3+80x3y4−32x2y5
The binomial expansion is:
\text{* x^7 - 10x^6y + 40x^5y^2 - 80x^4y^3 + 80x^3y^4 - 32x^2y^5 *}
2. Find the term independent of x in the expansion of (x−x3)4.
Step 1: Write the general term Tk+1 for the binomial expansion (a+b)n=∑k=0n(kn)an−kbk.
Here, a=x, b=−x3=−3x−1, and n=4.
Tk+1=(k4)x4−k(−3x−1)k
Tk+1=(k4)x4−k(−3)k(x−1)k
Tk+1=(k4)(−3)kx4−k−k
Tk+1=(k4)(−3)kx4−2k
Step 2: For the term independent of x, the power of x must be 0.
4−2k=0
2k=4
k=2
Step 3: Substitute k=2 into the general term formula.
T2+1=T3=(24)(−3)2x4−2(2)
T3=2×14×3⋅(9)⋅x0
T3=6⋅9⋅1
T3=54
The term independent of x is:
* 54 *
3. Find the first three terms in ascending powers of y in the expansion of (1−y)21.
Step 1: Use the binomial expansion for (1+x)n=1+nx+2!n(n−1)x2+….
Here, x=−y and n=21.
First term: 1
Second term: nx
21(−y)=−21y
Third term: 2!n(n−1)x2
2!21(21−1)(−y)2=221(−21)(y2)=2−41y2=−81y2
The first three terms are:
\text{* 1 - \frac{1}{2}y - \frac{1}{8}y^2 *}
4. Find the coefficient of x−1 in the expansion of ((x+1)(2x−x1)3).
Step 1: Expand (2x−x1)3 using the binomial theorem. Let a=2x and b=−x1=−x−1, n=3.
(2x−x−1)3=(03)(2x)3(−x−1)0+(13)(2x)2(−x−1)1+(23)(2x)1(−x−1)2+(33)(2x)0(−x−1)3
=1⋅(8x3)⋅1+3⋅(4x2)⋅(−x−1)+3⋅(2x)⋅(x−2)+1⋅1⋅(−x−3)
=8x3−12x2−1+6x1−2−x−3
=8x3−12x+6x−1−x−3
Step 2: Multiply the expanded form by (x+1).
(x+1)(8x3−12x+6x−1−x−3)
To find the coefficient of x−1, we look for terms that multiply to give x−1:
• x multiplied by a term with x−2: There is no x−2 term in (8x3−12x+6x−1−x−3). So, x⋅(0)=0.
• 1 multiplied by a term with x−1: 1⋅(6x−1)=6x−1.
The only term contributing to x−1 is 6x−1.
The coefficient of x−1 is:
* 6 *