This mathematics problem involves applying core mathematical principles and formulas. Below you will find a complete step-by-step solution with detailed explanations for each step, helping you understand not just the answer but the method behind it.
ScanSolve AI Answer
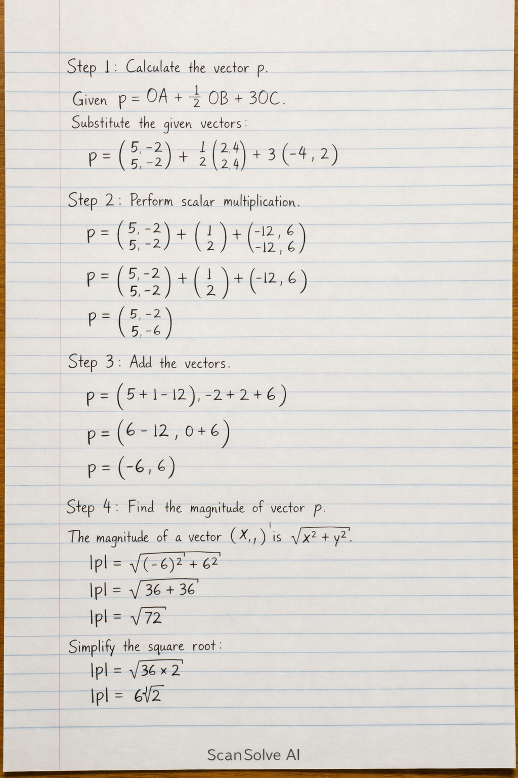
Step 1: Calculate the vector $p$.
Given $p = OA + \frac{1}{2} OB + 3OC$.
Substitute the given vectors:
$$p = \begin{pmatrix} 5 \\ -2 \end{pmatrix} + \frac{1}{2} \begin{pmatrix} 2 \\ 4 \end{pmatrix} + 3 \begin{pmatrix} -4 \\ 2 \end{pmatrix}$$
Step 2: Perform scalar multiplication.
$$p = \begin{pmatrix} 5 \\ -2 \end{pmatrix} + \begin{pmatrix} \frac{1}{2} \times 2 \\ \frac{1}{2} \times 4 \end{pmatrix} + \begin{pmatrix} 3 \times -4 \\ 3 \times 2 \end{pmatrix}$$
$$p = \begin{pmatrix} 5 \\ -2 \end{pmatrix} + \begin{pmatrix} 1 \\ 2 \end{pmatrix} + \begin{pmatrix} -12 \\ 6 \end{pmatrix}$$
Step 3: Add the vectors.
$$p = \begin{pmatrix} 5 + 1 - 12 \\ -2 + 2 + 6 \end{pmatrix}$$
$$p = \begin{pmatrix} 6 - 12 \\ 0 + 6 \end{pmatrix}$$
$$p = \begin{pmatrix} -6 \\ 6 \end{pmatrix}$$
Step 4: Find the magnitude of vector $p$.
The magnitude of a vector $\begin{pmatrix} x \\ y \end{pmatrix}$ is $\sqrt{x^2 + y^2}$.
$$|p| = \sqrt{(-6)^2 + 6^2}$$
$$|p| = \sqrt{36 + 36}$$
$$|p| = \sqrt{72}$$
Simplify the square root:
$$|p| = \sqrt{36 \times 2} = 6\sqrt{2}$$
Step 5: Determine the unit vector in the direction of $p$.
A unit vector is given by $\frac{p}{|p|}$.
$$\text{Unit vector} = \frac{1}{6\sqrt{2}} \begin{pmatrix} -6 \\ 6 \end{pmatrix}$$
$$\text{Unit vector} = \begin{pmatrix} \frac{-6}{6\sqrt{2}} \\ \frac{6}{6\sqrt{2}} \end{pmatrix}$$
$$\text{Unit vector} = \begin{pmatrix} \frac{-1}{\sqrt{2}} \\ \frac{1}{\sqrt{2}} \end{pmatrix}$$
Rationalize the denominators:
$$\text{Unit vector} = \begin{pmatrix} \frac{-1 \times \sqrt{2}}{\sqrt{2} \times \sqrt{2}} \\ \frac{1 \times \sqrt{2}}{\sqrt{2} \times \sqrt{2}} \end{pmatrix}$$
$$\text{Unit vector} = \begin{pmatrix} -\frac{\sqrt{2}}{2} \\ \frac{\sqrt{2}}{2} \end{pmatrix}$$
The unit vector is $\boxed{\begin{pmatrix} -\frac{\sqrt{2}}{2} \\ \frac{\sqrt{2}}{2} \end{pmatrix}}$.
Send me the next one 📸
Given p = OA + (1)/(2) OB + 3OC.
|Mathematics
Given p = OA + (1)/(2) OB + 3OC.
ScanSolve AI Answer
Step 1: Calculate the vector p.
Given p=OA+21OB+3OC.
Substitute the given vectors:
p=(5−2)+21(24)+3(−42)
Step 3: Add the vectors.
p=(5+1−12−2+2+6)p=(6−120+6)p=(−66)
Step 4: Find the magnitude of vector p.
The magnitude of a vector (xy) is x2+y2.
∣p∣=(−6)2+62∣p∣=36+36∣p∣=72
Simplify the square root:
∣p∣=36×2=62
Step 5: Determine the unit vector in the direction of p.
A unit vector is given by ∣p∣p.
Unit vector=621(−66)Unit vector=(62−6626)Unit vector=(2−121)
Rationalize the denominators:
Unit vector=(2×2−1×22×21×2)Unit vector=(−2222)
The unit vector is (−2222).
Send me the next one 📸
Need help with your own homework?
Get instant step-by-step solutions to any question. Free to start.