Here are the solutions to your questions:
1.1 The work done during adiabatic compression
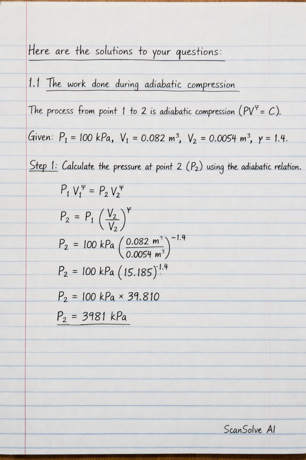
The process from point 1 to 2 is adiabatic compression (PVγ=C).
Given: P1=100 kPa, V1=0.082m3, V2=0.0054m3, γ=1.4.
Step 1: Calculate the pressure at point 2 (P2) using the adiabatic relation.
P1V1γ=P2V2γ
P2=P1(V2V1)γ
P2=100kPa(0.0054m30.082m3)1.4
P2=100kPa(15.185)1.4
P2=100kPa×39.810
P2=3981 kPa
Step 2: Calculate the work done during the adiabatic compression.
The work done for a reversible adiabatic process is given by:
W1−2=1−γP2V2−P1V1
W1−2=1−1.4(3981kPa)(0.0054m3)−(100kPa)(0.082m3)
W1−2=−0.421.4974kJ−8.2kJ
W1−2=−0.413.2974kJ
W1−2=−33.2435 kJ
The negative sign indicates work is done on the gas.
∗−33.24kJ∗
1.2 The work done during the constant pressure process
The process from point 3 to 4 is a constant pressure process.
Given: P3=6200 kPa, V3=0.0054m3, V4=0.0125m3.
Step 1: Calculate the work done for the constant pressure process.
W3−4=P3(V4−V3)
W3−4=6200kPa(0.0125m3−0.0054m3)
W3−4=6200kPa(0.0071m3)
W3−4=44.02 kJ
∗44.02kJ∗
1.3 The volume at point 3 and point 5 in litres
From the diagram: V3=0.0054m3 and V5=0.082m3.
To convert from cubic meters to litres, multiply by 1000 (1m3=1000 L).
Step 1: Convert V3 to litres.
V3=0.0054m3×1000L/m3=5.4 L
Step 2: Convert V5 to litres.