This mathematics problem involves applying core mathematical principles and formulas. Below you will find a complete step-by-step solution with detailed explanations for each step, helping you understand not just the answer but the method behind it.

ScanSolve AI Answer
Answer
\pm 2
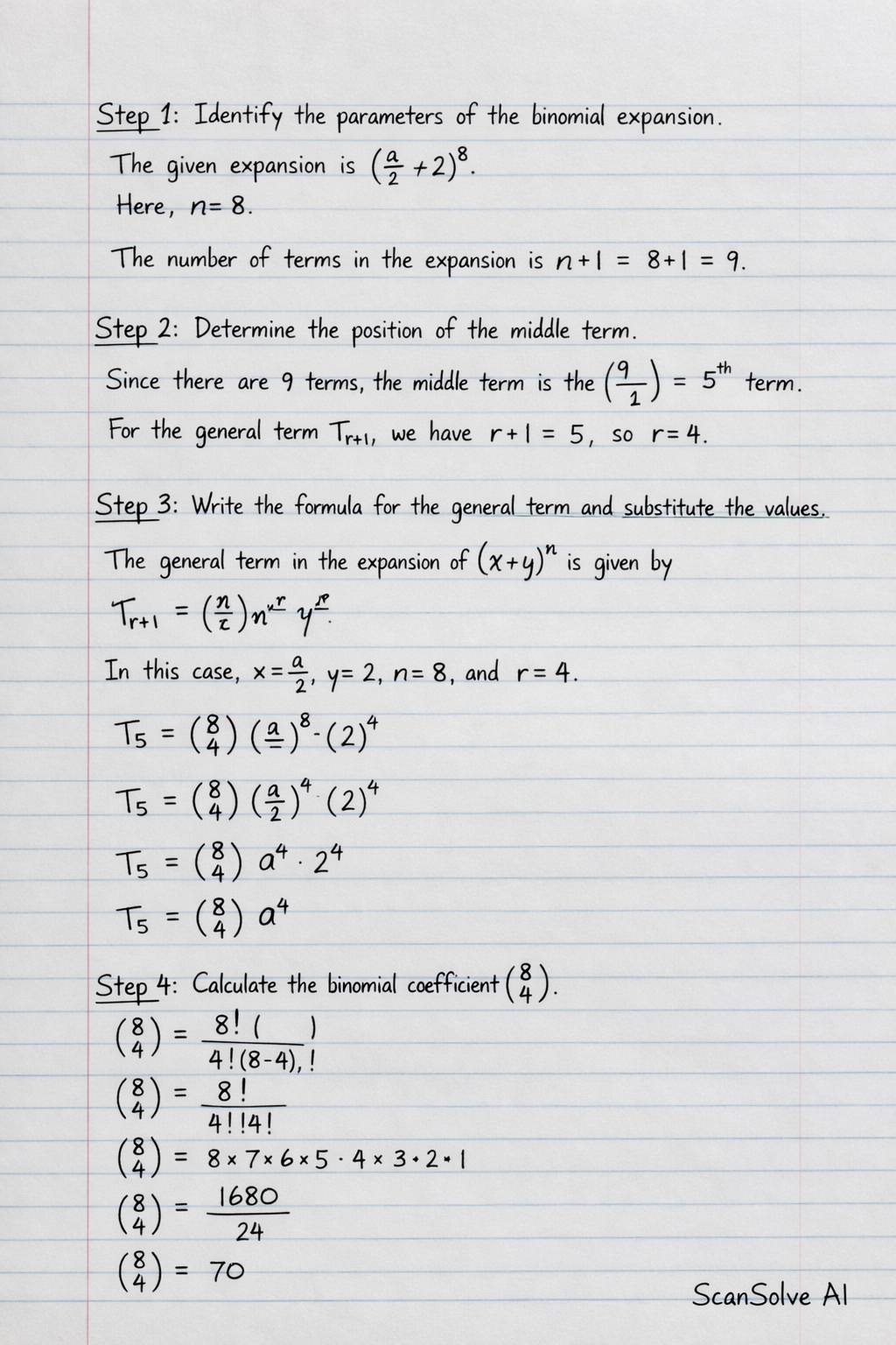
Step 1: Identify the parameters of the binomial expansion. The given expansion is . Here, . The number of terms in the expansion is .
Step 2: Determine the position of the middle term. Since there are 9 terms, the middle term is the term. For the general term , we have , so .
Step 3: Write the formula for the general term and substitute the values. The general term in the expansion of is given by . In this case, , , , and .
Step 4: Calculate the binomial coefficient .
Step 5: Set up the equation using the given value of the middle term. We are given that the middle term is 1120.
Step 6: Solve for . Take the fourth root of both sides:
The value of is .
Send me the next one 📸
Get instant step-by-step solutions to any question. Free to start.
Ask Your Question
Handwritten Step-by-Step Solution
Get this as a handwritten image on WhatsApp — like a tutor wrote it for you.
Try on WhatsAppStill have questions?
This mathematics problem involves applying core mathematical principles and formulas. Below you will find a complete step-by-step solution with detailed explanations for each step, helping you understand not just the answer but the method behind it.