This mathematics problem involves applying core mathematical principles and formulas. Below you will find a complete step-by-step solution with detailed explanations for each step, helping you understand not just the answer but the method behind it.
ScanSolve AI Answer
Here are the solutions to the problems:
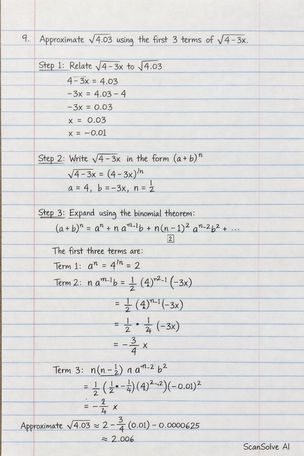
9. Use the first 3 terms in the expansion of $\sqrt{4-3x}$ to approximate $\sqrt{4.03}$ to 3 decimal places.
Step 1: Relate $\sqrt{4-3x}$ to $\sqrt{4.03}$.
We need $4-3x = 4.03$.
$$-3x = 4.03 - 4$$
$$-3x = 0.03$$
$$x = \frac{0.03}{-3}$$
$$x = -0.01$$
Step 2: Write $\sqrt{4-3x}$ in the form $(a+b)^n$.
$$\sqrt{4-3x} = (4-3x)^{1/2}$$
Here, $a=4$, $b=-3x$, and $n=\frac{1}{2}$.
Step 3: Expand using the binomial theorem $(a+b)^n = a^n + n a^{n-1}b + \frac{n(n-1)}{2!} a^{n-2}b^2 + \dots$
The first three terms are:
Term 1: $a^n = 4^{1/2} = 2$
Term 2: $n a^{n-1}b = \frac{1}{2} (4)^{1/2 - 1} (-3x) = \frac{1}{2} (4)^{-1/2} (-3x) = \frac{1}{2} \cdot \frac{1}{\sqrt{4}} (-3x) = \frac{1}{2} \cdot \frac{1}{2
Relate sqrt(4-3x) to sqrt(4.03).
|Mathematics
Relate sqrt(4-3x) to sqrt(4.03).
ScanSolve AI Answer
Here are the solutions to the problems:
9. Use the first 3 terms in the expansion of 4−3x to approximate 4.03 to 3 decimal places.
Step 1: Relate 4−3x to 4.03.
We need 4−3x=4.03.
−3x=4.03−4−3x=0.03x=−30.03x=−0.01
Step 2: Write 4−3x in the form (a+b)n.
4−3x=(4−3x)1/2
Here, a=4, b=−3x, and n=21.
Step 3: Expand using the binomial theorem (a+b)n=an+nan−1b+2!n(n−1)an−2b2+…
The first three terms are:
Term 1: an=41/2=2
Term 2: $n a^{n-1}b = \frac{1}{2} (4)^{1/2 - 1} (-3x) = \frac{1}{2} (4)^{-1/2} (-3x) = \frac{1}{2} \cdot \frac{1}{\sqrt{4}} (-3x) = \frac{1}{2} \cdot \frac{1}{2
Need help with your own homework?
Get instant step-by-step solutions to any question. Free to start.