You're on a roll —
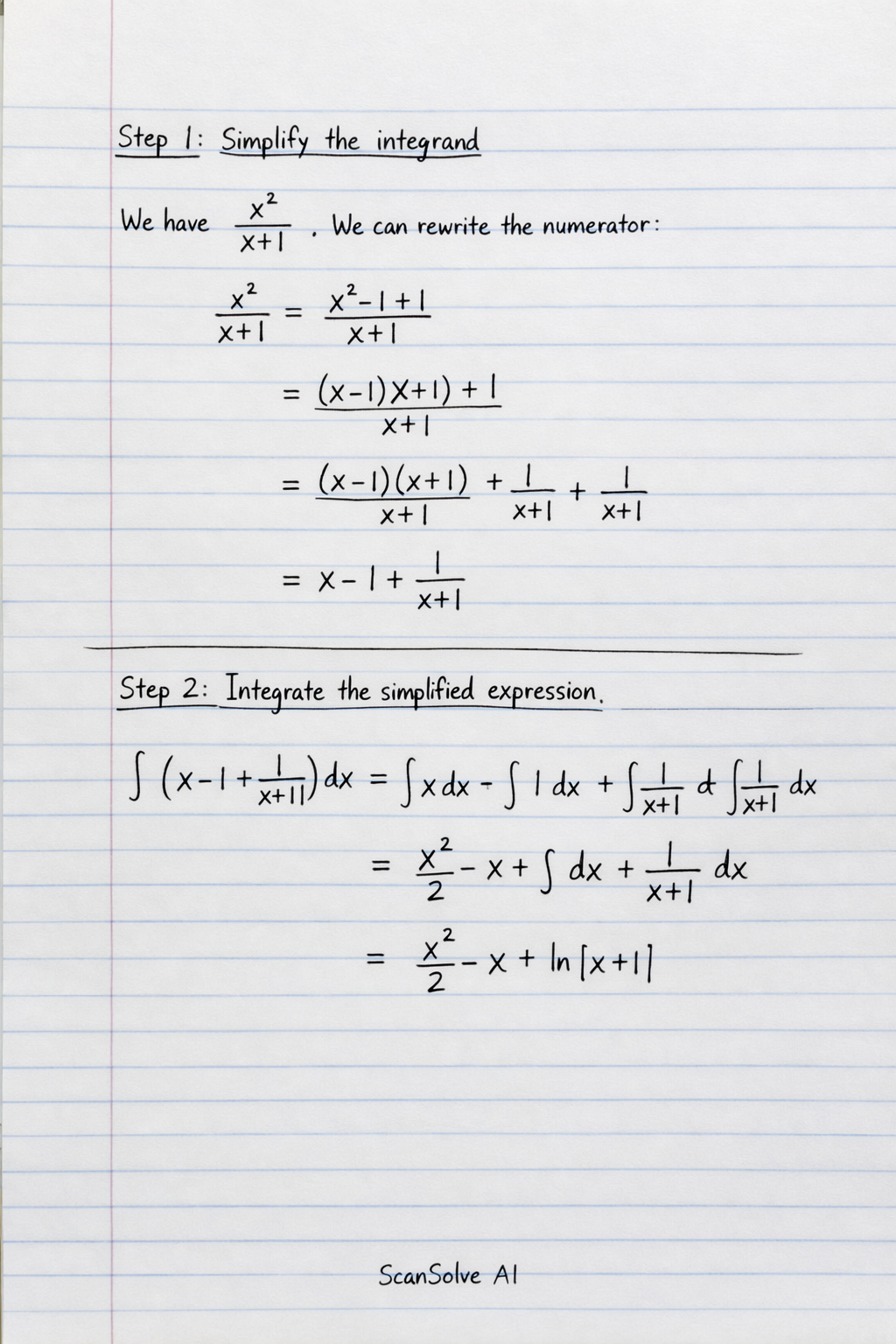
Step 1: Simplify the integrand using polynomial long division or algebraic manipulation.
We have x+1x2. We can rewrite the numerator to make it divisible by x+1.
x+1x2=x+1x2−1+1=x+1(x−1)(x+1)+1
=x+1(x−1)(x+1)+x+11=x−1+x+11
Step 2: Integrate the simplified expression.
∫(x−1+x+11)dx=∫xdx−∫1dx+∫x+11dx
=2x2−x+ln∣x+1∣
Step 3: Evaluate the definite integral using the limits of integration from 1 to 3.
∫13x+1x2dx=[2x2−x+ln∣x+1∣]13
Evaluate at the upper limit (x=3):
(232−3+ln∣3+1∣)=(29−3+ln(4))=(4.5−3+ln(4))=1.5+ln(4)
Evaluate at the lower limit (x=1):
(212−1+ln∣1+1∣)=(21−1+ln(2))=(0.5−1+ln(2))=−0.5+ln(2)
Subtract the lower limit value from the upper limit value:
(1.5+ln(4))−(−0.5+ln(2))=1.5+ln(4)+0.5−ln(2)
=2+ln(4)−ln(2)
Using the logarithm property ln(a)−ln(b)=ln(ba):
=2+ln(24)=2+ln(2)
The final answer is 2+ln(2).
Got more? Send 'em.