This mathematics problem involves applying core mathematical principles and formulas. Below you will find a complete step-by-step solution with detailed explanations for each step, helping you understand not just the answer but the method behind it.
ScanSolve AI Answer
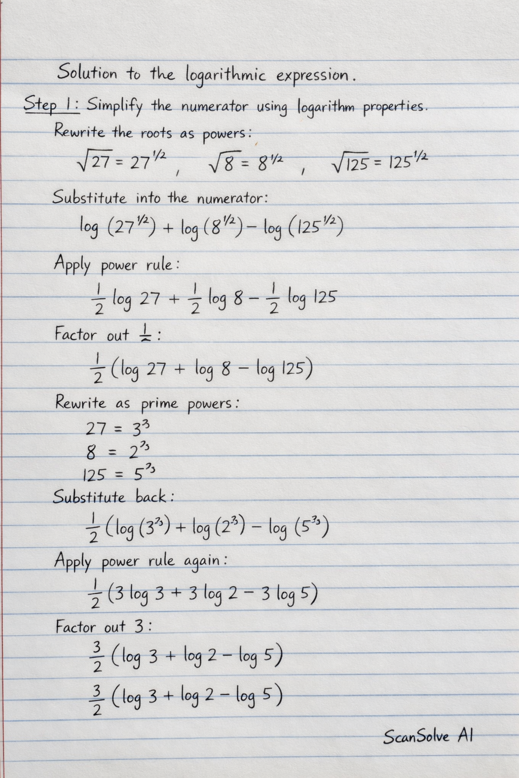
Here is the solution to the logarithmic expression.
Step 1: Simplify the numerator using logarithm properties.
The numerator is $\log \sqrt{27} + \log \sqrt{8} - \log \sqrt{125}$.
First, rewrite the square roots as powers:
$$\sqrt{27} = 27^{1/2}$$
$$\sqrt{8} = 8^{1/2}$$
$$\sqrt{125} = 125^{1/2}$$
Substitute these into the numerator:
$$\log (27^{1/2}) + \log (8^{1/2}) - \log (125^{1/2})$$
Apply the logarithm power rule, $n \log a = \log a^n$:
$$\frac{1}{2} \log 27 + \frac{1}{2} \log 8 - \frac{1}{2} \log 125$$
Factor out $\frac{1}{2}$:
$$\frac{1}{2} (\log 27 + \log 8 - \log 125)$$
Rewrite the numbers inside the logarithms as powers of their prime factors:
$$27 = 3^3$$
$$8 = 2^3$$
$$125 = 5^3$$
Substitute these back:
$$\frac{1}{2} (\log (3^3) + \log (2^3) - \log (5^3))$$
Apply the logarithm power rule again:
$$\frac{1}{2} (3 \log 3 + 3 \log 2 - 3 \log 5)$$
Factor out $3$:
$$\frac{1}{2} \cdot 3 (\log 3 + \log 2 - \log 5)$$
$$\frac{3}{2} (\log 3 + \log 2 - \log 5)$$
Apply the logarithm product rule, $\log a + \log b = \log (ab)$, and the quotient rule, $\log a - \log b = \log \left(\frac{a}{b}\right)$:
$$\frac{3}{2} (\log (3 \times 2) - \log 5)$$
$$\frac{3}{2} (\log 6 - \log 5)$$
Step 2: Simplify the denominator.
The denominator is $\log 6 - \log 5$. This is already in a simplified form for comparison.
Step 3: Combine the simplified numerator and denominator.
The original expression becomes:
$$\frac{\frac{3}{2} (\log 6 - \log 5)}{\log 6 - \log 5}$$
Since $(\log 6 - \log 5)$ is a common factor in both the numerator and the denominator, and it is not zero (because $\log 6 \neq \log 5$), we can cancel it out.
$$ \frac{3}{2} $$
The final answer is $\boxed{\frac{3}{2}}$.
Got more? Send 'em!
Simplify the numerator using logarithm properties.
|Mathematics
Simplify the numerator using logarithm properties.
ScanSolve AI Answer
Here is the solution to the logarithmic expression.
Step 1: Simplify the numerator using logarithm properties.
The numerator is log27+log8−log125.
First, rewrite the square roots as powers:
27=271/28=81/2125=1251/2
Substitute these into the numerator:
log(271/2)+log(81/2)−log(1251/2)
Apply the logarithm power rule, nloga=logan:
21log27+21log8−21log125
Factor out 21:
21(log27+log8−log125)
Rewrite the numbers inside the logarithms as powers of their prime factors:
27=338=23125=53
Substitute these back:
21(log(33)+log(23)−log(53))
Apply the logarithm power rule again:
21(3log3+3log2−3log5)
Factor out 3:
21⋅3(log3+log2−log5)23(log3+log2−log5)
Apply the logarithm product rule, loga+logb=log(ab), and the quotient rule, loga−logb=log(ba):
23(log(3×2)−log5)23(log6−log5)
Step 2: Simplify the denominator.
The denominator is log6−log5. This is already in a simplified form for comparison.
Step 3: Combine the simplified numerator and denominator.
The original expression becomes:
log6−log523(log6−log5)
Since (log6−log5) is a common factor in both the numerator and the denominator, and it is not zero (because log6=log5), we can cancel it out.
23
The final answer is 23.
Got more? Send 'em!
Need help with your own homework?
Get instant step-by-step solutions to any question. Free to start.