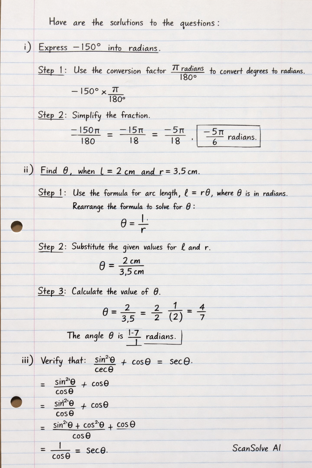
Here are the solutions to the questions:
i) Express −150∘ into radians.
Step 1: Use the conversion factor 180∘πradians to convert degrees to radians.
−150∘×180∘π
Step 2: Simplify the fraction.
−180150π=−1815π=−65π
The angle in radians is −65πradians.
ii) Find θ, when l=2cm and r=3.5cm.
Step 1: Use the formula for arc length, l=rθ, where θ is in radians.
Rearrange the formula to solve for θ:
θ=rl
Step 2: Substitute the given values for l and r.
θ=3.5cm2cm
Step 3: Calculate the value of θ.
θ=3.52=272=74
The angle θ is 74radians.
iii) Verify that: cosθsin2θ+cosθ=secθ.
Step 1: Start with the left-hand side (LHS) of the equation.
LHS=cosθsin2θ+cosθ
Step 2: Find a common denominator for the terms, which is cosθ.
LHS=cosθsin2θ+cosθcosθ⋅cosθ
LHS=cosθsin2θ+cosθcos2θ
Step 3: Combine the terms over the common denominator.
LHS=cosθsin2θ+cos2θ
Step 4: Apply the Pythagorean identity sin2θ+cos2θ=1.
LHS=cosθ1
Step 5: Recognize that cosθ1 is equal to secθ.
LHS=secθ
This matches the right-hand side (RHS) of the equation.
Therefore, the identity is verified. cosθsin2θ+cosθ=secθ
That's 2 down. 3 left today — send the next one.