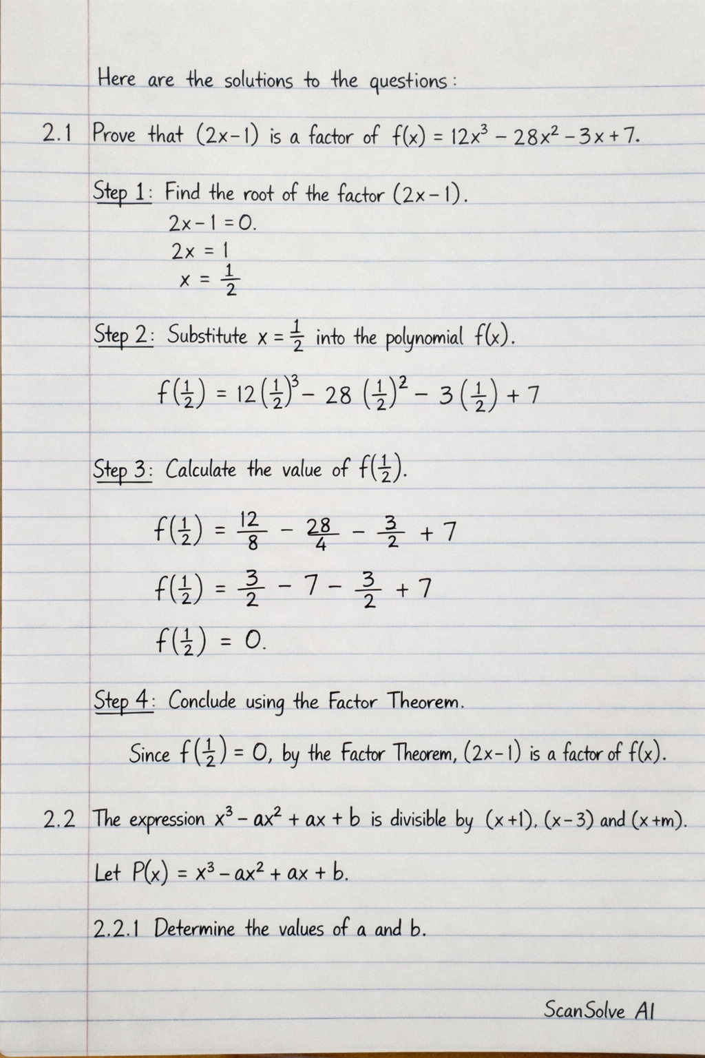
Find the root of the factor (2x-1).
This biology question covers important biological concepts and processes. The step-by-step explanation below helps you understand the underlying mechanisms and reasoning.
This biology question covers important biological concepts and processes. The step-by-step explanation below helps you understand the underlying mechanisms and reasoning.

ScanSolve AI Answer
Here are the solutions to the questions:
Step 1: Find the root of the factor . Set .
Step 2: Substitute into the polynomial .
Step 3: Calculate the value of .
Step 4: Conclude using the Factor Theorem. Since , by the Factor Theorem, is a factor of .
Let .
Step 1: Use the Factor Theorem for . Since is divisible by , .
Step 2: Use the Factor Theorem for . Since is divisible by $(
Get instant step-by-step solutions to any question. Free to start.
Ask Your Question
Handwritten Step-by-Step Solution
Get this solution as a handwritten image on WhatsApp — just like a tutor wrote it for you.
Try on WhatsApp