This computer science problem involves algorithmic thinking and programming concepts. The solution below explains the approach, logic, and implementation step by step.

ScanSolve AI Answer
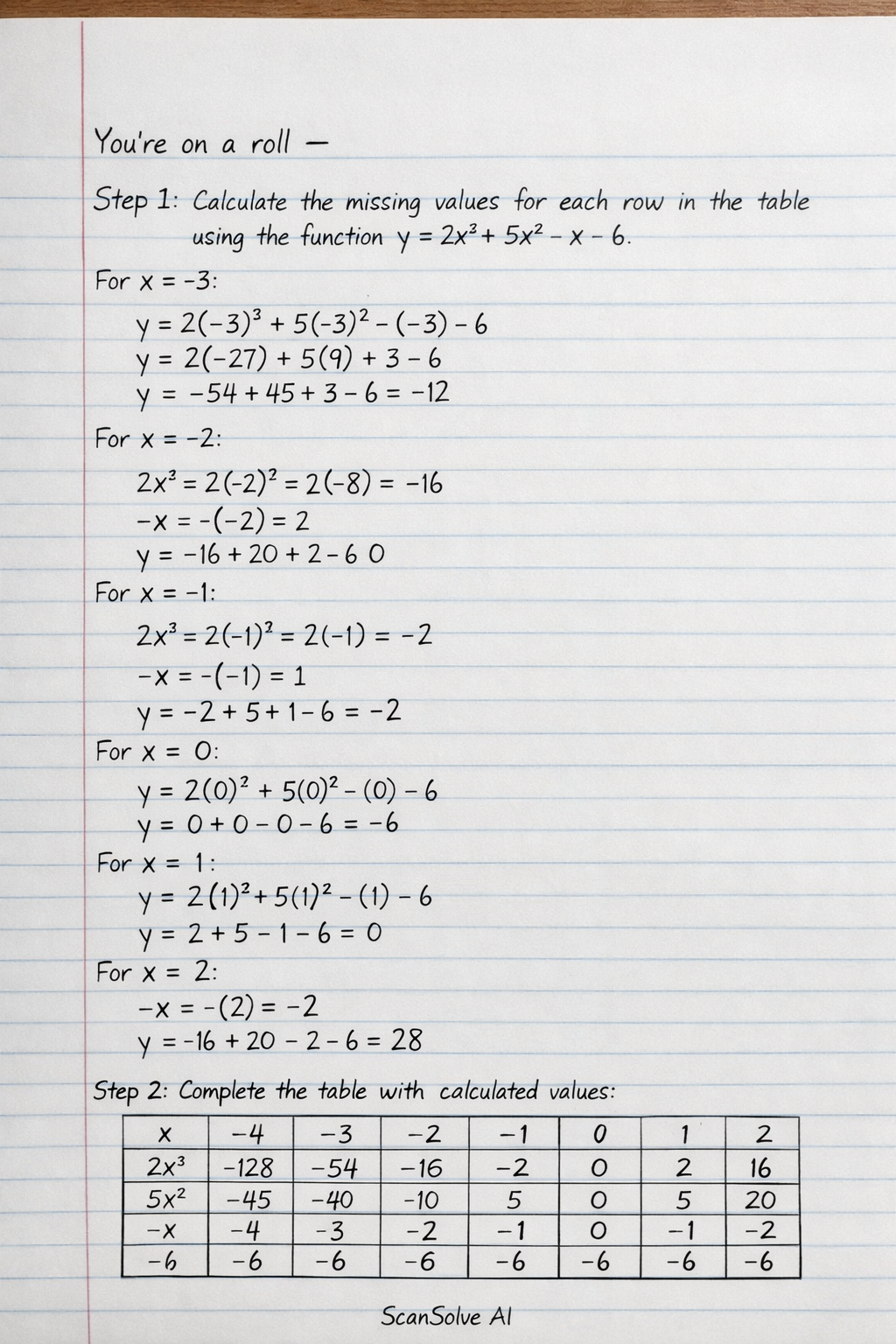
VerifiedYou're on a roll — Step 1: Calculate the missing values for each row in the table using the function .
For :
For :
For :
For :
For :
For :
Step 2: Complete the table with the calculated values.
| x | -4 | -3 | -2 | -1 | 0 | 1 | 2 | |---|----|----|----|----|---|---|---| | | -128 | -54 | -16 | -2 | 0 | 2 | 16 | | | 80 | 45 | 20 | 5 | 0 | 5 | 20 | | -x | 4 | 3 | -2 | -1 | 0 | -1 | -2 | | -6 | -6 | -6 | -6 | -6 | -6 | -6 | -6 | | y | -50 | -12 | -0 | -2 | -6 | -0 | -28 |
The completed table is:
\hline x & -4 & -3 & -2 & -1 & 0 & 1 & 2 \\ \hline 2x^3 & -128 & -54 & -16 & -2 & 0 & 2 & 16 \\ \hline 5x^2 & 80 & 45 & 20 & 5 & 0 & 5 & 20 \\ \hline -x & 4 & 3 & 2 & 1 & 0 & -1 & -2 \\ \hline -6 & -6 & -6 & -6 & -6 & -6 & -6 & -6 \\ \hline y & -50 & -12 & 0 & -2 & -6 & 0 & 28 \\ \hline \end{array}$$ What's next?Get instant step-by-step solutions to any question. Free to start.
Ask Your Question
Handwritten Step-by-Step Solution
Get this as a handwritten image on WhatsApp — like a tutor wrote it for you.
Try on WhatsAppStill have questions?
You're on a roll — Step 1: Calculate the missing values for each row in the table using the function y = 2x^3 + 5x^2 - x - 6.
This computer science problem involves algorithmic thinking and programming concepts. The solution below explains the approach, logic, and implementation step by step.