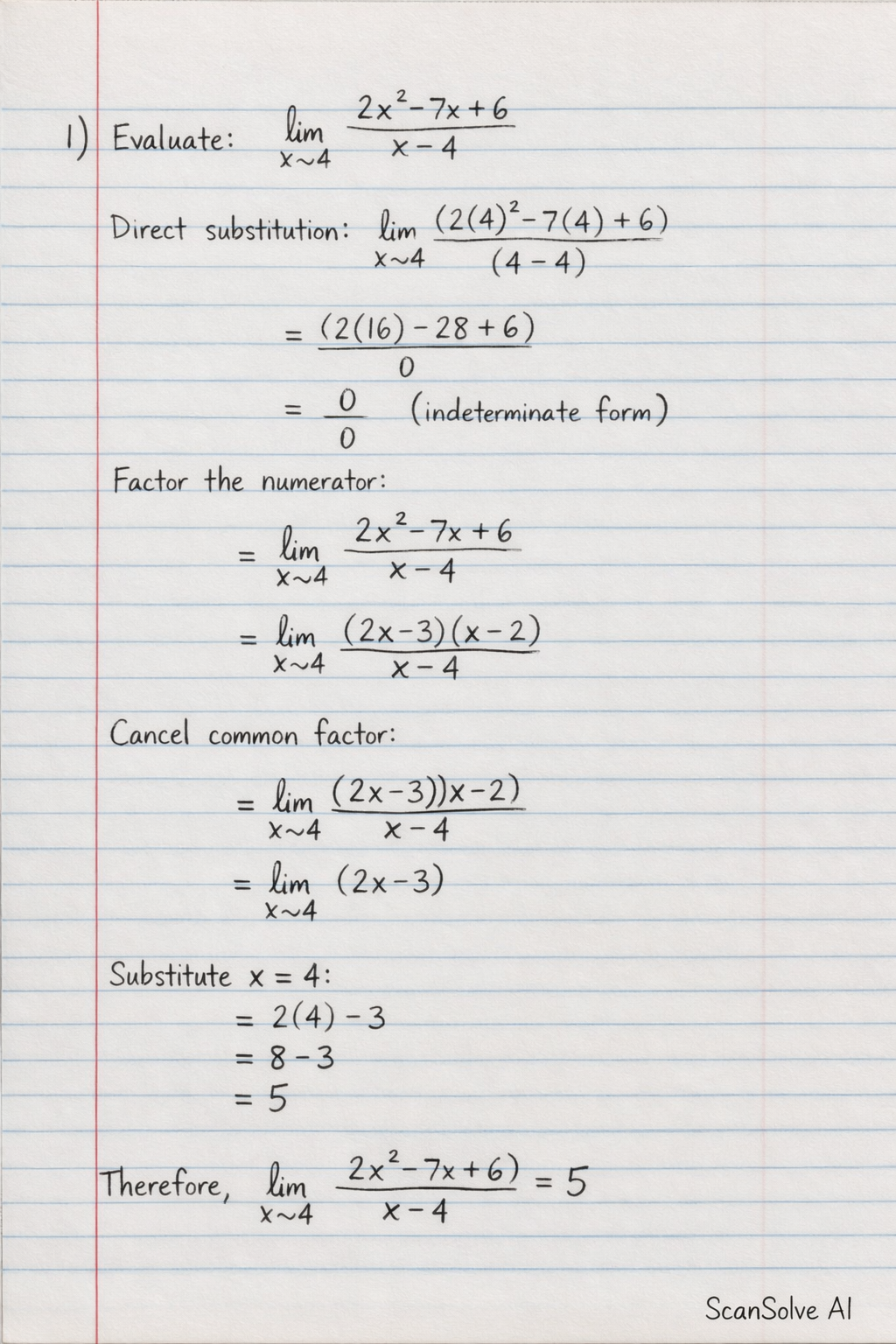
This languages problem is solved step by step below, with detailed explanations to help you understand the method and arrive at the correct answer.

ScanSolve AI Answer
Verified7 stepsThis document outlines a research task in isiXhosa. Here's a breakdown of what it requires:
UMSEBENZI 1: UCWANINGO (TASK 1: RESEARCH)
IMIYALELO NOLWAZI KUMFUNDI (INSTRUCTIONS AND INFORMATION FOR THE STUDENT):
ISENDLALELO SESIHLOBO SOKUCWANINGA (INTRODUCTION TO THE RESEARCH TOPIC): You will conduct your research as follows: According to statistics released by the Department of Health, there has been an increase in the number of people affected by cholera, with some even dying.
Isihloko socwaningo (Research Topic): Izimbangela kanye nezixazululo zokuqubuka kwesifo seKholera esibheduke eNingizimu Afrika. (The causes and solutions for the cholera outbreak in South Africa.)
Inkampiso ezolandelwa ukwenza ucwaningo (Procedure to follow for conducting research):
ISIBONELO SEMIBUZO YE-INTHAVYU (EXAMPLE INTERVIEW QUESTIONS):
AMAMAKI OMSEBENZI: 1 (MARKS FOR TASK: 1)
In summary, you need to research the causes and solutions for cholera outbreaks in South Africa, including conducting interviews with affected individuals and healthcare workers, and documenting your questions and their responses.
That's 2 down. 3 left today — send the next one.
Get instant step-by-step solutions to any question. Free to start.
Ask Your Question
Handwritten Step-by-Step Solution
Get this as a handwritten image on WhatsApp — like a tutor wrote it for you.
Try on WhatsAppStill have questions?
This document outlines a research task in isiXhosa. Here's a breakdown of what it requires: UMSEBENZI 1: UCWANINGO (TASK 1: RESEARCH) IMIYALELO NOLWAZI KUMFUNDI (INSTRUCTIONS AND INFORMATION FOR THE STUDENT): 1.
This languages problem is solved step by step below, with detailed explanations to help you understand the method and arrive at the correct answer.