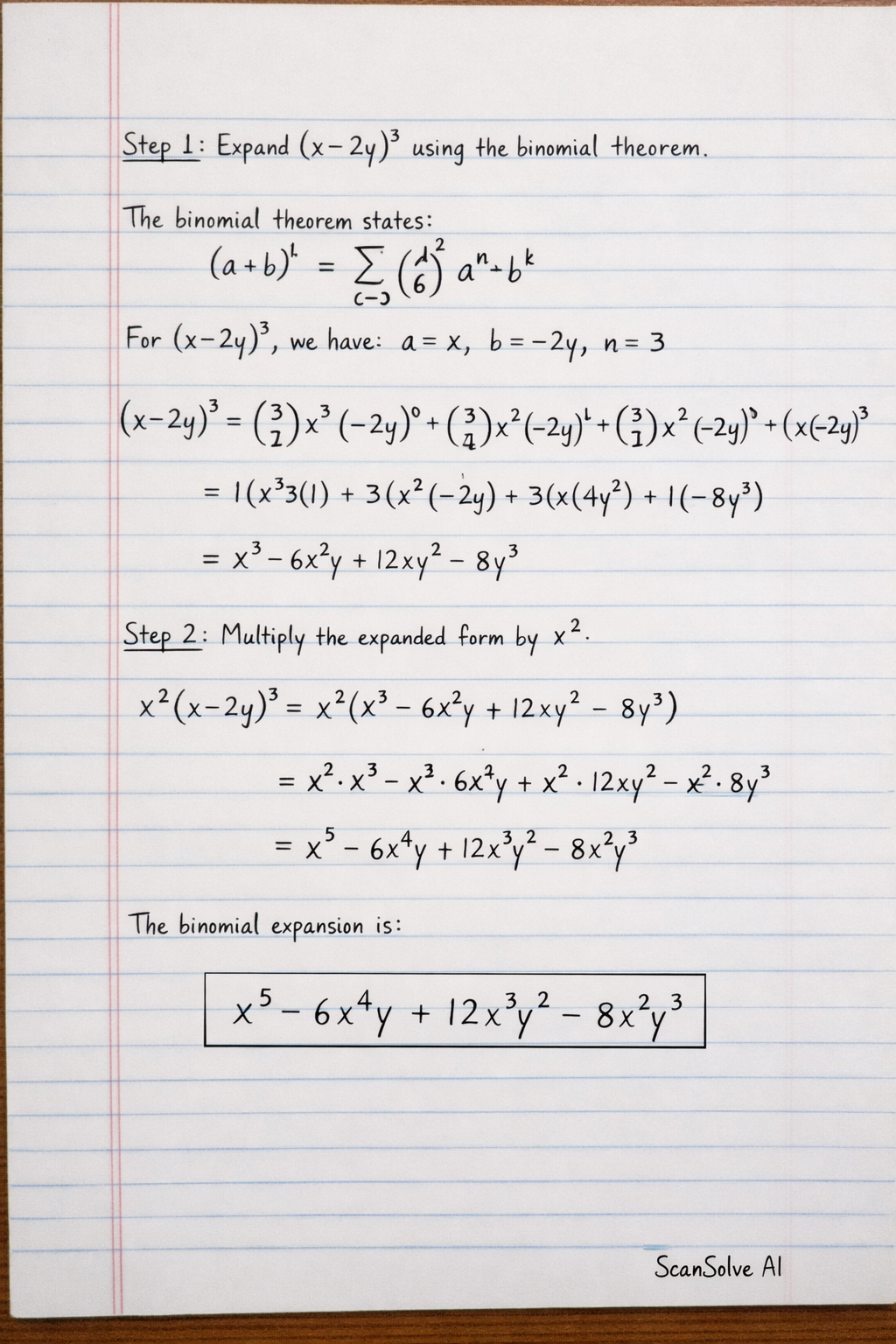
Step 1: Expand (x−2y)3 using the binomial theorem.
The binomial theorem states that (a+b)n=∑k=0n(kn)an−kbk.
For (x−2y)3, we have a=x, b=−2y, and n=3.
(x−2y)3=(03)x3(−2y)0+(13)x2(−2y)1+(23)x1(−2y)2+(33)x0(−2y)3
=(1)x3(1)+(3)x2(−2y)+(3)x(4y2)+(1)(1)(−8y3)
=x3−6x2y+12xy2−8y3
Step 2: Multiply the expanded form by x2.
x2(x−2y)3=x2(x3−6x2y+12xy2−8y3)
=x2⋅x3−x2⋅6x2y+x2⋅12xy2−x2⋅8y3
=x5−6x4y+12x3y2−8x2y3
The binomial expansion is:
x5−6x4y+12x3y2−8x2y3
Step 1: Write the general term for the expansion of (x−x3)4.
The general term Tr+1 in the expansion of (a+b)n is given by Tr+1=(rn)an−rbr.
Here, a=x, b=−x3=−3x−1, and n=4.
Tr+1=(r4)(x)4−r(−3x−1)r
Tr+1=(r4)x4−r(−3)r(x−1)r
Tr+1=(r4)(−3)rx4−r−r
Tr+1=(r4)(−3)rx4−2r
Step 2: Find the value of r for the term independent of x.
For the term independent of x, the power of x must be 0.
4−2r=0
2r=4
r=2
Step 3: Substitute r=2 into the general term formula.
T2+1=T3=(24)(−3)2x4−2(2)
T3=2!(4−2)!4!(9)x0
T3=(2×1)(2×1)4×3×2×1×9×1
T3=424×9
T3=6×9
T3=54
The term independent of x is:
54
Step 1: Use the binomial series expansion formula for (1+x)n.
The binomial series expansion is given by (1+x)n=1+nx+2!n(n−1)x2+3!n(n−1)(n−2)x3+….
For (1−y)31, we have x=−y and n=31.
Step 2: Calculate the first term.
The first term is 1.
Step 3: Calculate the second term.