Skip to main content
ScanSolve logoScanSolve
Toggle sidebar
  • Homework
  • Tutor
  • Humanizer
  • AI Detector
  • Questions
  • Blog
  • History
  • Mobile App

  • Homework
  • Tutor
  • Humanizer
  • AI Detector

  • Questions
  • Math homework helpMath
    Physics homework helpPhysics
    Chemistry homework helpChemistry
    Biology homework helpBiology
    Computer Science homework helpComputer Science
    History homework helpHistory
    More homework helpMore
  • Blog
  • History

  • Mobile App
ScanSolvePLUS
  • Unlimited answers
  • ScanSolve AI Pro
Start Free Trial →
Try on WhatsApp
Mathematics: Evaluate: 3/4 + 15/7 ÷ 4/7 of 2 1/3 / (1 3/7 - 5/8) × 2/3 — Step-by-Step Solution | ScanSolve
Home > Mathematics Homework Help > Solution

Evaluate: 3/4 + 15/7 ÷ 4/7 of 2 1/3 / (1 3/7 - 5/8) × 2/3

Asked on March 26, 2026|Mathematics

This mathematics problem involves applying core mathematical principles and formulas. Below you will find a complete step-by-step solution with detailed explanations for each step, helping you understand not just the answer but the method behind it.

ScanSolve AI AnswerAnswered on March 26, 2026
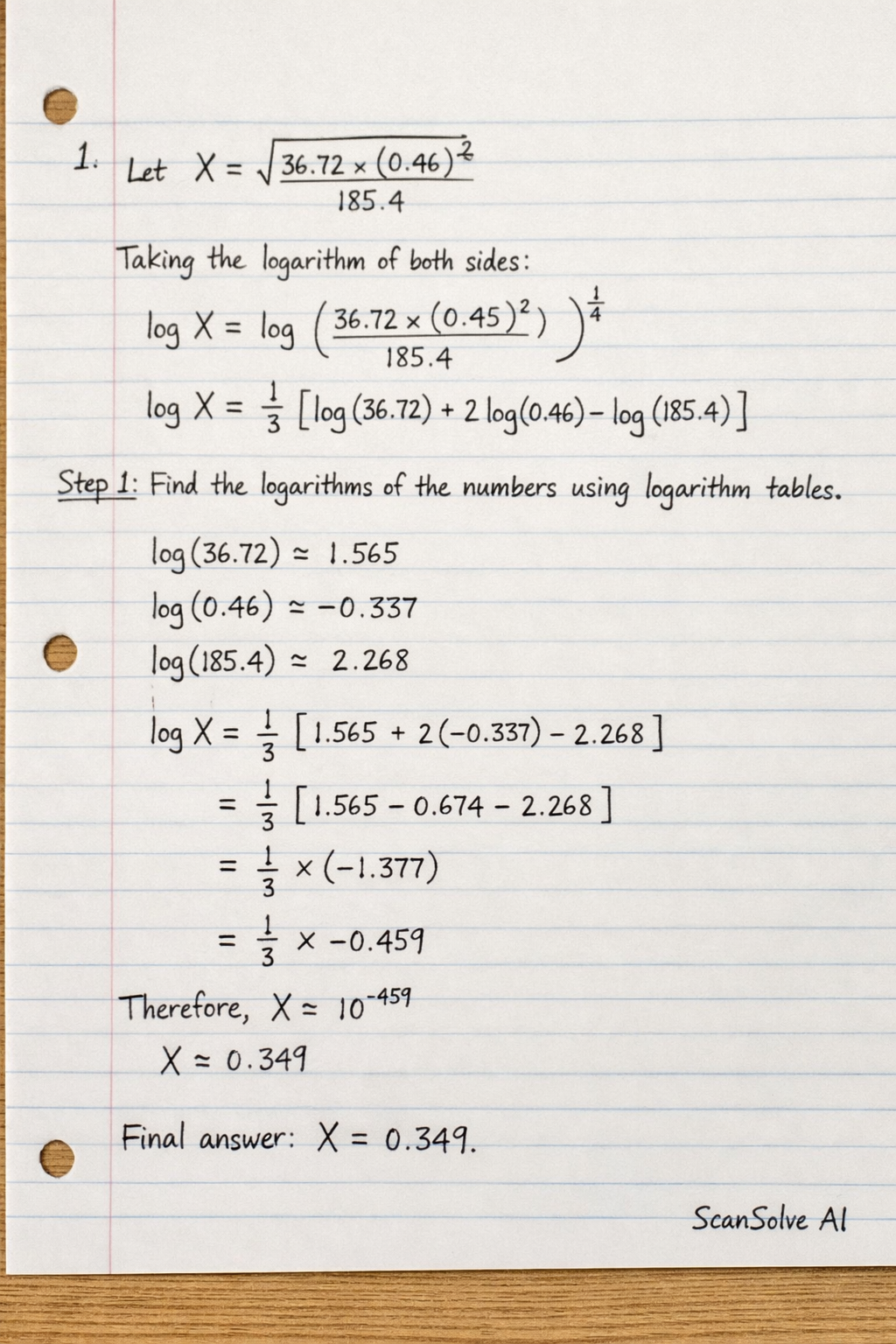
1. Let $X = \sqrt[3]{\frac{36.72 \times (0.46)^2}{185.4}}$. Taking the logarithm of both sides: $$ \log X = \log \left( \frac{36.72 \times (0.46)^2}{185.4} \right)^{\frac{1}{3}} $$ $$ \log X = \frac{1}{3} \left[ \log(36.72) + 2\log(0.46) - \log(185.4) \right] $$ Step 1: Find the logarithms of the numbers using logarithm tables. $$ \log(36.7

Related Mathematics Questions

  • Solve number 12-15
  • Solve number 9-11
  • Find the first three terms in ascending powers of y in the expansion of (1-y)^(1)/(2).
  • Find the binomial expansion of (x-2y)^3.
  • V_3 = 1.2\,A x 2
  • A polynomial is an expression where the exponents of the variables are non-negative integers.
See all Mathematics questions

This step-by-step solution was generated by ScanSolve AI. Need help with more mathematics problems? Browse Mathematics solutions or ask your own question.

Home›Mathematics Homework Help›Evaluate: 3/4 + 15/7 ÷ 4/7 of 2 1/3 / (1 3/7 - 5/8) × 2/3
Q

Evaluate: 3/4 + 15/7 ÷ 4/7 of 2 1/3 / (1 3/7 - 5/8) × 2/3

March 26, 2026|Mathematics
Evaluate: 3/4 + 15/7 ÷ 4/7 of 2 1/3 / (1 3/7 - 5/8) × 2/3

Evaluate: 3/4 + 15/7 ÷ 4/7 of 2 1/3 / (1 3/7 - 5/8) × 2/3

ScanSolve AI

ScanSolve AI Answer

Answered on March 26, 2026

1. Let X=36.72×(0.46)2185.43X = \sqrt[3]{\frac{36.72 \times (0.46)^2}{185.4}}X=3185.436.72×(0.46)2​​. Taking the logarithm of both sides: log⁡X=log⁡(36.72×(0.46)2185.4)13\log X = \log \left( \frac{36.72 \times (0.46)^2}{185.4} \right)^{\frac{1}{3}}logX=log(185.436.72×(0.46)2​)31​ log⁡X=13[log⁡(36.72)+2log⁡(0.46)−log⁡(185.4)]\log X = \frac{1}{3} \left[ \log(36.72) + 2\log(0.46) - \log(185.4) \right]logX=31​[log(36.72)+2log(0.46)−log(185.4)] Step 1: Find the logarithms of the numbers using logarithm tables.

Need help with your own homework?

Get instant step-by-step solutions to any question. Free to start.

Ask Your Question
Handwritten step-by-step solution

Handwritten Step-by-Step Solution

Get this solution as a handwritten image on WhatsApp — just like a tutor wrote it for you.

Try on WhatsApp

More Mathematics Questions

Solve number 12-15Solve number 9-11Find the first three terms in ascending powers of y in the expansion of (1-y)^(1)/(2).Find the binomial expansion of (x-2y)^3.V_3 = 1.2\,A x 2A polynomial is an expression where the exponents of the variables are non-negative integers.
See all Mathematicsquestions →