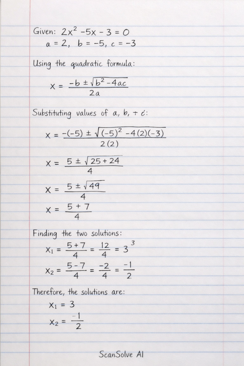
Quadratic formula
This mathematics problem involves applying core mathematical principles and formulas. Below you will find a complete step-by-step solution with detailed explanations for each step, helping you understand not just the answer but the method behind it.
ScanSolve AI Answer
The quadratic formula is used to find the roots of a quadratic equation of the form $ax^2 + bx + c = 0$, where $a$, $b$, and $c$ are coefficients and $a \neq 0$.
The formula is:
$$x = \frac{-b \pm \sqrt{b^2 - 4ac}}{2a}$$
Send me the next one 📸
