a) To write down the binomial expansion of (1+x1), a power is required. Assuming the question implies the power is 5, similar to part b), we will expand (1+x1)5.
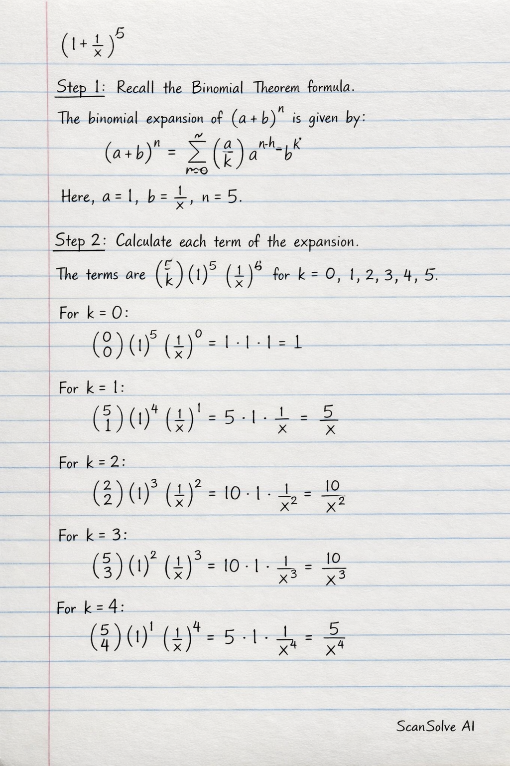
Step 1: Recall the Binomial Theorem formula.
The binomial expansion of (a+b)n is given by:
(a+b)n=∑k=0n(kn)an−kbk
In this case, a=1, b=x1, and n=5.
Step 2: Calculate each term of the expansion.
The terms are (k5)(1)5−k(x1)k for k=0,1,2,3,4,5.
For k=0:
(05)(1)5(x1)0=1⋅1⋅1=1
For k=1:
(15)(1)4(x1)1=5⋅1⋅x1=x5
For k=2:
(25)(1)3(x1)2=10⋅1⋅x21=x210
For k=3:
(35)(1)2(x1)3=10⋅1⋅x31=x310
For k=4:
(45)(1)1(x1)4=5⋅1⋅x41=x45
For k=5:
(55)(1)0(x1)5=1⋅1⋅x51=x51
Step 3: Sum the terms to get the full expansion.
(1+x1)5=1+x5+x210+x310+x45+x51
The simplified binomial expansion is:
1+x5+x210+x310+x45+x51
b) Evaluate (0.05)5 correct to 4 decimal places.
Step 1: Calculate the value of (0.05)5.
(0.05)5=(5×10−2)5
(0.05)5=55×(10−2)5
(0.05)5=3125×10−10
(0.05)5=0.0000000003125
Step 2: Round the result to 4 decimal places.
To round to 4 decimal places, we look at the fifth decimal place.
The number is 0.0000000003125.
The first four decimal places are 0,0,0,0.
The fifth decimal place is 0.
Since the fifth decimal place is 0 (which is less than 5), we keep the fourth decimal place as it is.
0.0000
The value of (0.05)5 correct to 4 decimal places is:
0.0000