Skip to main content
ScanSolve logoScanSolve
Toggle sidebar
  • Homework
  • Tutor
  • Humanizer
  • AI Detector
  • Questions
  • Blog
  • History
  • Mobile App

  • Homework
  • Tutor
  • Humanizer
  • AI Detector

  • Questions
  • Math homework helpMath
    Physics homework helpPhysics
    Chemistry homework helpChemistry
    Biology homework helpBiology
    Computer Science homework helpComputer Science
    History homework helpHistory
    More homework helpMore
  • Blog
  • History

  • Mobile App
ScanSolvePLUS
  • Unlimited answers
  • ScanSolve AI Pro
Start Free Trial →
Try on WhatsApp
Home > Mathematics Homework Help > Solution

sin^2 a + cos^2 (a + b) + 2 sin a sin b cos(a + b) is independent of

Asked on March 26, 2026|Mathematics

This mathematics problem involves applying core mathematical principles and formulas. Below you will find a complete step-by-step solution with detailed explanations for each step, helping you understand not just the answer but the method behind it.

ScanSolve AI AnswerAnswered on March 26, 2026
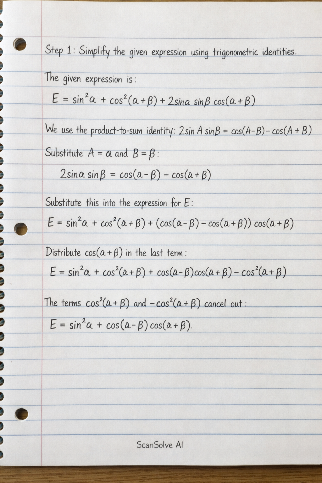
Step 1: Simplify the given expression using trigonometric identities. The given expression is: $$E = \sin^2 \alpha + \cos^2(\alpha + \beta) + 2\sin \alpha \sin \beta \cos(\alpha + \beta)$$ We use the product-to-sum identity $2\sin A \sin B = \cos(A-B) - \cos(A+B)$. Substitute $A = \alpha$ and $B = \beta$: $$2\sin \alpha \sin \beta = \cos(\alpha - \beta) - \cos(\alpha + \beta)$$ Substitute this into the expression for $E$: $$E = \sin^2 \alpha + \cos^2(\alpha + \beta) + (\cos(\alpha - \beta) - \cos(\alpha + \beta))\cos(\alpha + \beta)$$ Distribute $\cos(\alpha + \beta)$ in the last term: $$E = \sin^2 \alpha + \cos^2(\alpha + \beta) + \cos(\alpha - \beta)\cos(\alpha + \beta) - \cos^2(\alpha + \beta)$$ The terms $\cos^2(\alpha + \beta)$ and $-\cos^2(\alpha + \beta)$ cancel out: $$E = \sin^2 \alpha + \cos(\alpha - \beta)\cos(\alpha + \beta)$$ Step 2: Simplify the product of cosines. We use the product-to-sum identity $2\cos A \cos B = \cos(A+B) + \cos(A-B)$. Substitute $A = \alpha - \beta$ and $B = \alpha + \beta$: $$\cos(\alpha - \beta)\cos(\alpha + \beta) = \frac{1}{2}[\cos((\alpha - \beta) + (\alpha + \beta)) + \cos((\alpha - \beta) - (\alpha + \beta))]$$ $$\cos(\alpha - \beta)\

Related Mathematics Questions

  • Simplify the numerator of the fraction.
  • Solve number 12-15
  • Solve number 9-11
  • Find the first three terms in ascending powers of y in the expansion of (1-y)^(1)/(2).
  • Find the binomial expansion of (x-2y)^3.
  • V_3 = 1.2\,A x 2
See all Mathematics questions

This step-by-step solution was generated by ScanSolve AI. Need help with more mathematics problems? Browse Mathematics solutions or ask your own question.

Home›Mathematics Homework Help›sin^2 a + cos^2 (a + b) + 2 sin a sin b cos(a + b) is indepe…
Q

sin^2 a + cos^2 (a + b) + 2 sin a sin b cos(a + b) is independent of

March 26, 2026|Mathematics
sin^2 a + cos^2 (a + b) + 2 sin a sin b cos(a + b) is independent of

sin^2 a + cos^2 (a + b) + 2 sin a sin b cos(a + b) is independent of

ScanSolve AI

ScanSolve AI Answer

Answered on March 26, 2026

Step 1: Simplify the given expression using trigonometric identities. The given expression is: E=sin⁡2α+cos⁡2(α+β)+2sin⁡αsin⁡βcos⁡(α+β)E = \sin^2 \alpha + \cos^2(\alpha + \beta) + 2\sin \alpha \sin \beta \cos(\alpha + \beta)E=sin2α+cos2(α+β)+2sinαsinβcos(α+β) We use the product-to-sum identity 2sin⁡Asin⁡B=cos⁡(A−B)−cos⁡(A+B)2\sin A \sin B = \cos(A-B) - \cos(A+B)2sinAsinB=cos(A−B)−cos(A+B). Substitute A=αA = \alphaA=α and B=βB = \betaB=β: 2sin⁡αsin⁡β=cos⁡(α−β)−cos⁡(α+β)2\sin \alpha \sin \beta = \cos(\alpha - \beta) - \cos(\alpha + \beta)2sinαsinβ=cos(α−β)−cos(α+β) Substitute this into the expression for EEE: E=sin⁡2α+cos⁡2(α+β)+(cos⁡(α−β)−cos⁡(α+β))cos⁡(α+β)E = \sin^2 \alpha + \cos^2(\alpha + \beta) + (\cos(\alpha - \beta) - \cos(\alpha + \beta))\cos(\alpha + \beta)E=sin2α+cos2(α+β)+(cos(α−β)−cos(α+β))cos(α+β) Distribute cos⁡(α+β)\cos(\alpha + \beta)cos(α+β) in the last term: E=sin⁡2α+cos⁡2(α+β)+cos⁡(α−β)cos⁡(α+β)−cos⁡2(α+β)E = \sin^2 \alpha + \cos^2(\alpha + \beta) + \cos(\alpha - \beta)\cos(\alpha + \beta) - \cos^2(\alpha + \beta)E=sin2α+cos2(α+β)+cos(α−β)cos(α+β)−cos2(α+β) The terms cos⁡2(α+β)\cos^2(\alpha + \beta)cos2(α+β) and −cos⁡2(α+β)-\cos^2(\alpha + \beta)−cos2(α+β) cancel out: E=sin⁡2α+cos⁡(α−β)cos⁡(α+β)E = \sin^2 \alpha + \cos(\alpha - \beta)\cos(\alpha + \beta)E=sin2α+cos(α−β)cos(α+β)

Step 2: Simplify the product of cosines. We use the product-to-sum identity 2cos⁡Acos⁡B=cos⁡(A+B)+cos⁡(A−B)2\cos A \cos B = \cos(A+B) + \cos(A-B)2cosAcosB=cos(A+B)+cos(A−B). Substitute A=α−βA = \alpha - \betaA=α−β and B=α+βB = \alpha + \betaB=α+β: cos⁡(α−β)cos⁡(α+β)=12[cos⁡((α−β)+(α+β))+cos⁡((α−β)−(α+β))]\cos(\alpha - \beta)\cos(\alpha + \beta) = \frac{1}{2}[\cos((\alpha - \beta) + (\alpha + \beta)) + \cos((\alpha - \beta) - (\alpha + \beta))]cos(α−β)cos(α+β)=21​[cos((α−β)+(α+β))+cos((α−β)−(α+β))]

Need help with your own homework?

Get instant step-by-step solutions to any question. Free to start.

Ask Your Question
Handwritten step-by-step solution

Handwritten Step-by-Step Solution

Get this solution as a handwritten image on WhatsApp — just like a tutor wrote it for you.

Try on WhatsApp

More Mathematics Questions

Simplify the numerator of the fraction.Solve number 12-15Solve number 9-11Find the first three terms in ascending powers of y in the expansion of (1-y)^(1)/(2).Find the binomial expansion of (x-2y)^3.V_3 = 1.2\,A x 2
See all Mathematicsquestions →