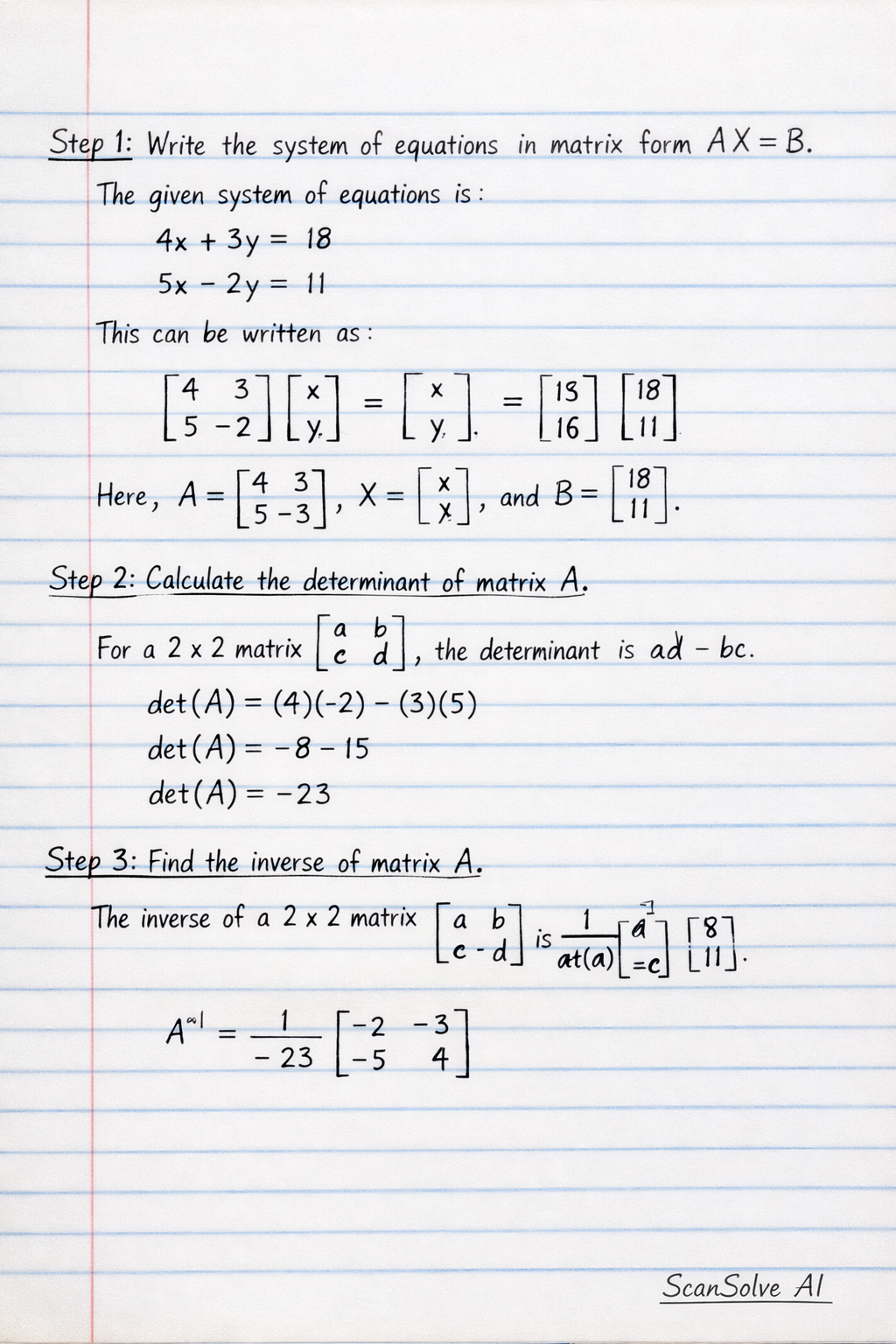
Step 1: Write the system of equations in matrix form AX=B.
The given system of equations is:
4x+3y=18
5x−2y=11
This can be written as:
[453−2][xy]=[1811]
Here, A=[453−2], X=[xy], and B=[1811].
Step 2: Calculate the determinant of matrix A.
For a 2×2 matrix [acbd], the determinant is ad−bc.
det(A)=(4)(−2)−(3)(5)
det(A)=−8−15
det(A)=−23
Step 3: Find the inverse of matrix A.
The inverse of a 2×2 matrix [acbd] is det(A)1[d−c−ba].
A−1=−231[−2−5−34]
Step 4: Solve for X using X=A−1B.
[xy]=−231[−2−5−34][1811]
[xy]=−231[(−2)(18)+(−3)(11)(−5)(18)+(4)(11)]
[xy]=−231[−36−33−90+44]
[xy]=−231[−69−46]
[xy]=[−23−69−23−46]
[xy]=[32]
Step 5: State the solution.
x=3
y=2
The final answer is x=3,y=2.