The sequence un is defined by u1 = 2 and un+1 = (1)/(2)(un + (2)/(un)) for n >= 1. 1. Show that un > sqrt(2) for all n >= 1. 2. Show that un+1 < un for all n >= 1. 3. Hence explain why un converges, and find n infinity un. 4. Find the sum sumn=1^infinity (un - un+1).
This mathematics problem involves applying core mathematical principles and formulas. Below you will find a complete step-by-step solution with detailed explanations for each step, helping you understand not just the answer but the method behind it.
ScanSolve AI Answer
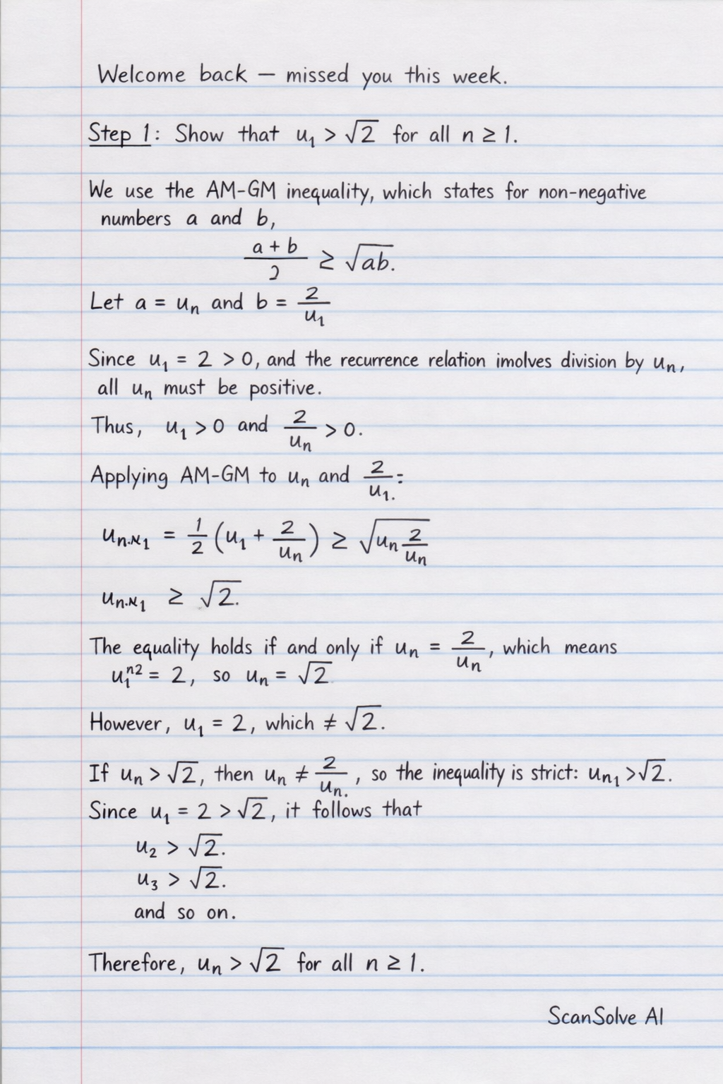
Welcome back — missed you this week.
Step 1: Show that $u_n > \sqrt{2}$ for all $n \geq 1$.
We use the AM-GM inequality, which states that for non-negative numbers $a$ and $b$, $\frac{a+b}{2} \geq \sqrt{ab}$.
Let $a = u_n$ and $b = \frac{2}{u_n}$.
Since $u_1 = 2 > 0$, and the recurrence relation involves division by $u_n$, all $u_n$ must be positive.
Thus, $u_n > 0$ and $\frac{2}{u_n} > 0$.
Applying AM-GM to $u_n$ and $\frac{2}{u_n}$:
$$u_{n+1} = \frac{1}{2}\left(u_n + \frac{2}{u_n}\right) \geq \sqrt{u_n \cdot \frac{2}{u_n}}$$
$$u_{n+1} \geq \sqrt{2}$$
The equality holds if and only if $u_n = \frac{2}{u_n}$, which means $u_n^2 = 2$, so $u_n = \sqrt{2}$.
However, $u_1 = 2$, which is not equal to $\sqrt{2}$.
If $u_n > \sqrt{2}$, then $u_n \neq \frac{2}{u_n}$, so the inequality is strict: $u_{n+1} > \sqrt{2}$.
Since $u_1 = 2 > \sqrt{2}$, it follows that $u_2 > \sqrt{2}$, $u_3 > \sqrt{2}$, and so on.
Therefore, $u_n > \sqrt{2}$ for all $n \geq 1$.
Step 2: Show that $u_{n+1} < u_n$ for all $n \geq 1$.
To show that $u_{n+1} < u_n$, we need to show that $u_n - u_{n+1} > 0$.
$$u_n - u_{n+1} = u_n - \frac{1}{2}\left(u_n + \frac{2}{u_n}\right)$$
$$u_n - u_{n+1} = u_n - \frac{u_n}{2} - \frac{1}{u_n}$$
$$u_n - u_{n+1} = \frac{u_n}{2} - \frac{1}{u_n}$$
$$u_n - u_{n+1} = \frac{u_n^2 - 2}{2u_n}$$
From Step 1, we established that $u_n > \sqrt{2}$ for all $n \geq 1$.
This implies $u_n^2 > (\sqrt{2})^2 = 2$, so $u_n^2 - 2 > 0$.
Also, since $u_n > \sqrt{2}$, it means $u_n$ is positive, so $2u_n > 0$.
Therefore, $\frac{u_n^2 - 2}{2u_n} > 0$.
This shows that $u_n - u_{n+1} > 0$, which means $u_{n+1} < u_n$ for all $n \geq 1$.
The sequence $u_n$ is strictly decreasing.
Step 3: Hence explain why $u_n$ converges, and find $\lim_{n \to \infty} u_n$.
From Step 1, the sequence $u_n$ is bounded below by $\sqrt{2}$ (i.e., $u_n > \sqrt{2}$ for all $n \geq 1$).
From Step 2, the sequence $u_n$ is monotonically decreasing (i.e., $u_{n+1} < u_n$ for all $n \geq 1$).
A fundamental theorem in real analysis states that any sequence that is both monotonic and bounded converges. Therefore, $u_n$ converges.
To find the limit, let $L = \lim_{n \to \infty} u_n$.
If $u_n$ converges to $L$, then $u_{n+1}$ also converges to $L$.
Taking the limit of the recurrence relation:
$$\lim_{n \to \infty} u_{n+1} = \lim_{n \to \infty} \frac{1}{2}\left(u_n + \frac{2}{u_n}\right)$$
$$L = \frac{1}{2}\left(L + \frac{2}{L}\right)$$
Multiply by $2$:
$$2L = L + \frac{2}{L}$$
Subtract $L$ from both sides:
$$L = \frac{2}{L}$$
Multiply by $L$:
$$L^2 = 2$$
$$L = \pm \sqrt{2}$$
Since we established in Step 1 that $u_n > \sqrt{2}$ for all $n \geq 1$, the limit $L$ must be positive.
Therefore, the limit is $\boxed{\sqrt{2}}$.
Step 4: Find the sum $\displaystyle \sum_{n=1}^{\infty} \left(u_n - u_{n+1}\right)$.
This is a telescoping series. Let $S_N$ be the $N$-th partial sum:
$$S_N = \sum_{n=1}^{N} \left(u_n - u_{n+1}\right)$$
$$S_N = (u_1 - u_2) + (u_2 - u_3) + (u_3 - u_4) + \dots + (u_N - u_{N+1})$$
All intermediate terms cancel out, leaving:
$$S_N = u_1 - u_{N+1}$$
The sum of the infinite series is the limit of the partial sums as $N \to \infty$:
$$\sum_{n=1}^{\infty} \left(u_n - u_{n+1}\right) = \lim_{N \to \infty} S_N = \lim_{N \to \infty} (u_1 - u_{N+1})$$
We know $u_1 = 2$.
From Step 3, we found that $\lim_{N \to \infty} u_{N+1} = \sqrt{2}$.
Substituting these values:
$$\sum_{n=1}^{\infty} \left(u_n - u_{n+1}\right) = 2 - \sqrt{2}$$
The sum is $\boxed{2 - \sqrt{2}}$.
Send me the next one 📸
The sequence un is defined by u1 = 2 and un+1 = (1)/(2)(un + (2)/(un)) for n >= 1. 1. Show that un > sqrt(2) for all n >= 1. 2. Show that un+1 < un for all n >= 1. 3. Hence explain why un converges, and find n infinity un. 4. Find the sum sumn=1^infinity (un - un+1).
|Mathematics
ScanSolve AI Answer
Welcome back — missed you this week.
Step 1: Show that un>2 for all n≥1.
We use the AM-GM inequality, which states that for non-negative numbers a and b, 2a+b≥ab.
Let a=un and b=un2.
Since u1=2>0, and the recurrence relation involves division by un, all un must be positive.
Thus, un>0 and un2>0.
Applying AM-GM to un and un2:
un+1=21(un+un2)≥un⋅un2un+1≥2
The equality holds if and only if un=un2, which means un2=2, so un=2.
However, u1=2, which is not equal to 2.
If un>2, then un=un2, so the inequality is strict: un+1>2.
Since u1=2>2, it follows that u2>2, u3>2, and so on.
Therefore, un>2 for all n≥1.
Step 2: Show that un+1<un for all n≥1.
To show that un+1<un, we need to show that un−un+1>0.
un−un+1=un−21(un+un2)un−un+1=un−2un−un1un−un+1=2un−un1un−un+1=2unun2−2
From Step 1, we established that un>2 for all n≥1.
This implies un2>(2)2=2, so un2−2>0.
Also, since un>2, it means un is positive, so 2un>0.
Therefore, 2unun2−2>0.
This shows that un−un+1>0, which means un+1<un for all n≥1.
The sequence un is strictly decreasing.
Step 3: Hence explain why un converges, and find limn→∞un.
From Step 1, the sequence un is bounded below by 2 (i.e., un>2 for all n≥1).
From Step 2, the sequence un is monotonically decreasing (i.e., un+1<un for all n≥1).
A fundamental theorem in real analysis states that any sequence that is both monotonic and bounded converges. Therefore, un converges.
To find the limit, let L=limn→∞un.
If un converges to L, then un+1 also converges to L.
Taking the limit of the recurrence relation:
limn→∞un+1=limn→∞21(un+un2)L=21(L+L2)
Multiply by 2:
2L=L+L2
Subtract L from both sides:
L=L2
Multiply by L:
L2=2L=±2
Since we established in Step 1 that un>2 for all n≥1, the limit L must be positive.
Therefore, the limit is 2.
Step 4: Find the sum n=1∑∞(un−un+1).
This is a telescoping series. Let SN be the N-th partial sum:
SN=∑n=1N(un−un+1)SN=(u1−u2)+(u2−u3)+(u3−u4)+⋯+(uN−uN+1)
All intermediate terms cancel out, leaving:
SN=u1−uN+1
The sum of the infinite series is the limit of the partial sums as N→∞:
∑n=1∞(un−un+1)=limN→∞SN=limN→∞(u1−uN+1)
We know u1=2.
From Step 3, we found that limN→∞uN+1=2.
Substituting these values:
∑n=1∞(un−un+1)=2−2
The sum is 2−2.
Send me the next one 📸
Need help with your own homework?
Get instant step-by-step solutions to any question. Free to start.