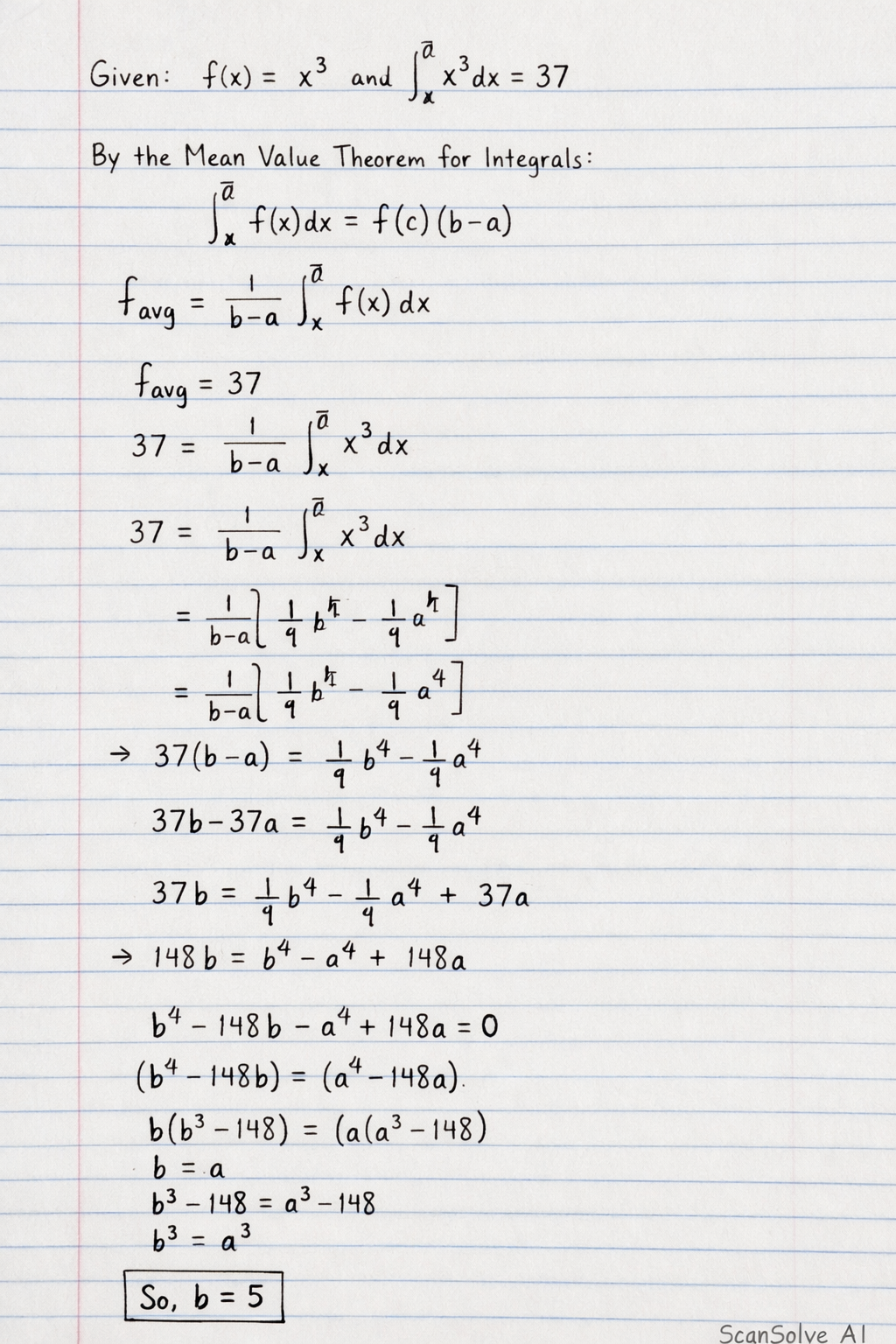
us to find the value of b given that f(x) = x^3 and the value resulting from the Mean Value Theorem for Integrals for integral_a^b f(x) \,dx is 37.
This mathematics problem involves applying core mathematical principles and formulas. Below you will find a complete step-by-step solution with detailed explanations for each step, helping you understand not just the answer but the method behind it.

