This physics problem tests your understanding of fundamental physical laws and their applications. The step-by-step solution below breaks down the problem using relevant equations and physical reasoning.
ScanSolve AI Answer
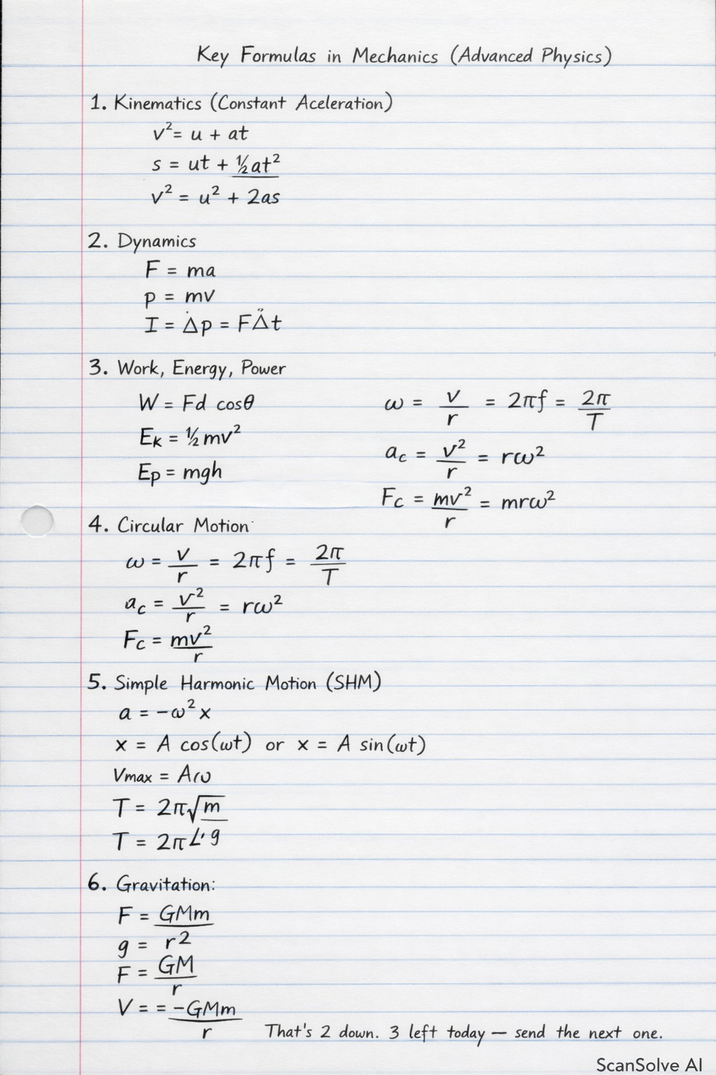
Here are the key formulas in Mechanics for advanced level physics:
1. Kinematics (Constant Acceleration)
$$v = u + at$$
$$s = ut + \frac{1}{2}at^2$$
$$v^2 = u^2 + 2as$$
2. Dynamics
$$F = ma$$
$$p = mv$$
$$I = \Delta p = F\Delta t$$
3. Work, Energy, Power
$$W = Fd \cos\theta$$
$$E_k = \frac{1}{2}mv^2$$
$$E_p = mgh$$
$$P = \frac{W}{t} = Fv$$
4. Circular Motion
$$\omega = \frac{v}{r} = 2\pi f = \frac{2\pi}{T}$$
$$a_c = \frac{v^2}{r} = r\omega^2$$
$$F_c = \frac{mv^2}{r} = mr\omega^2$$
5. Simple Harmonic Motion (SHM)
$$a = -\omega^2 x$$
$$x = A \cos(\omega t) \quad \text{or} \quad x = A \sin(\omega t)$$
$$v_{max} = A\omega$$
$$T = 2\pi \sqrt{\frac{m}{k}}$$
$$T = 2\pi \sqrt{\frac{L}{g}}$$
6. Gravitation
$$F = \frac{GMm}{r^2}$$
$$g = \frac{GM}{r^2}$$
$$E_p = -\frac{GMm}{r}$$
$$V = -\frac{GM}{r}$$
$$T^2 = \left(\frac{4\pi^2}{GM}\right)r^3$$
That's 2 down. 3 left today — send the next one.
Please can you help me witg all the formula in mechanic advance level physics
|Physics
ScanSolve AI Answer
Here are the key formulas in Mechanics for advanced level physics: