This physics problem tests your understanding of fundamental physical laws and their applications. The step-by-step solution below breaks down the problem using relevant equations and physical reasoning.
ScanSolve AI Answer
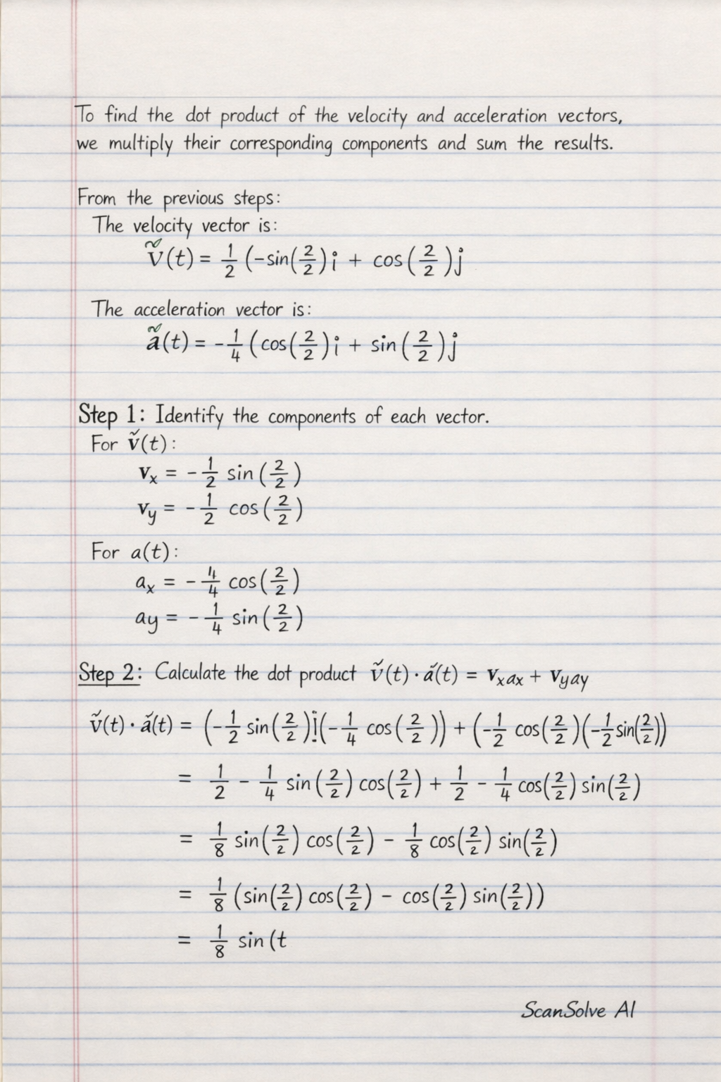
To find the dot product of the velocity and acceleration vectors, we multiply their corresponding components and sum the results.
From the previous steps:
The velocity vector is:
$$\vec{v}(t) = \frac{1}{2}\left(-\sin\left(\frac{t}{2}\right)\hat{i} + \cos\left(\frac{t}{2}\right)\hat{j}\right)$$
The acceleration vector is:
$$\vec{a}(t) = -\frac{1}{4}\left(\cos\left(\frac{t}{2}\right)\hat{i} + \sin\left(\frac{t}{2}\right)\hat{j}\right)$$
Step 1: Identify the components of each vector.
For $\vec{v}(t)$:
$v_x = -\frac{1}{2}\sin\left(\frac{t}{2}\right)$
$v_y = \frac{1}{2}\cos\left(\frac{t}{2}\right)$
For $\vec{a}(t)$:
$a_x = -\frac{1}{4}\cos\left(\frac{t}{2}\right)$
$a_y = -\frac{1}{4}\sin\left(\frac{t}{2}\right)$
Step 2: Calculate the dot product $\vec{v}(t) \cdot \vec{a}(t) = v_x a_x + v_y a_y$.
$$\vec{v}(t) \cdot \vec{a}(t) = \left(-\frac{1}{2}\sin\left(\frac{t}{2}\right)\right)\left(-\frac{1}{4}\cos\left(\frac{t}{2}\right)\right) + \left(\frac{1}{2}\cos\left(\frac{t}{2}\right)\right)\left(-\frac{1}{4}\sin\left(\frac{t}{2}\right)\right)$$
Step 3: Simplify the expression.
$$\vec{v}(t) \cdot \vec{a}(t) = \frac{1}{8}\sin\left(\frac{t}{2}\right)\cos\left(\frac{t}{2}\right) - \frac{1}{8}\cos\left(\frac{t}{2}\right)\sin\left(\frac{t}{2}\right)$$
$$\vec{v}(t) \cdot \vec{a}(t) = 0$$
$$\boxed{\vec{v}(t) \cdot \vec{a}(t) = 0}$$
What's next?
Do the dot product of the velocity and acceleration above
|Physics
ScanSolve AI Answer
To find the dot product of the velocity and acceleration vectors, we multiply their corresponding components and sum the results.
From the previous steps:
The velocity vector is:
v(t)=21(−sin(2t)i^+cos(2t)j^)
The acceleration vector is:
a(t)=−41(cos(2t)i^+sin(2t)j^)
Step 1: Identify the components of each vector.
For v(t):
vx=−21sin(2t)vy=21cos(2t)
For a(t):
ax=−41cos(2t)ay=−41sin(2t)
Step 2: Calculate the dot product v(t)⋅a(t)=vxax+vyay.
v(t)⋅a(t)=(−21sin(2t))(−41cos(2t))+(21cos(2t))(−41sin(2t))
Step 3: Simplify the expression.
v(t)⋅a(t)=81sin(2t)cos(2t)−81cos(2t)sin(2t)v(t)⋅a(t)=0v(t)⋅a(t)=0
What's next?
Need help with your own homework?
Get instant step-by-step solutions to any question. Free to start.