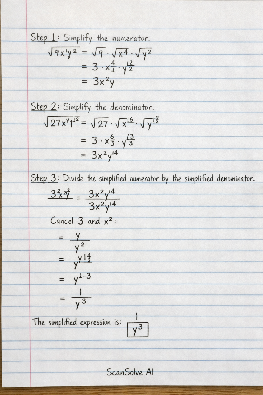
ii. Simplify (sqrt(9x ^ 4 y ^ 2))/(root(27x ^ 6 y ^ 12, 3))
This biology question covers important biological concepts and processes. The step-by-step explanation below helps you understand the underlying mechanisms and reasoning.
This biology question covers important biological concepts and processes. The step-by-step explanation below helps you understand the underlying mechanisms and reasoning.
ScanSolve AI Answer
You're on a roll — Step 1: Simplify the numerator. The numerator is . We can simplify each term under the square root:
Step 2: Simplify the denominator. The denominator is . We can simplify each term under the cube root:
Step 3: Divide the simplified numerator by the simplified denominator. Now, substitute the simplified expressions back into the fraction: Cancel out the common terms and : Using the rule of exponents : This can also be written as:
The simplified expression is .
Get instant step-by-step solutions to any question. Free to start.
Ask Your Question
Handwritten Step-by-Step Solution
Get this solution as a handwritten image on WhatsApp — just like a tutor wrote it for you.
Try on WhatsApp