You're on a roll —
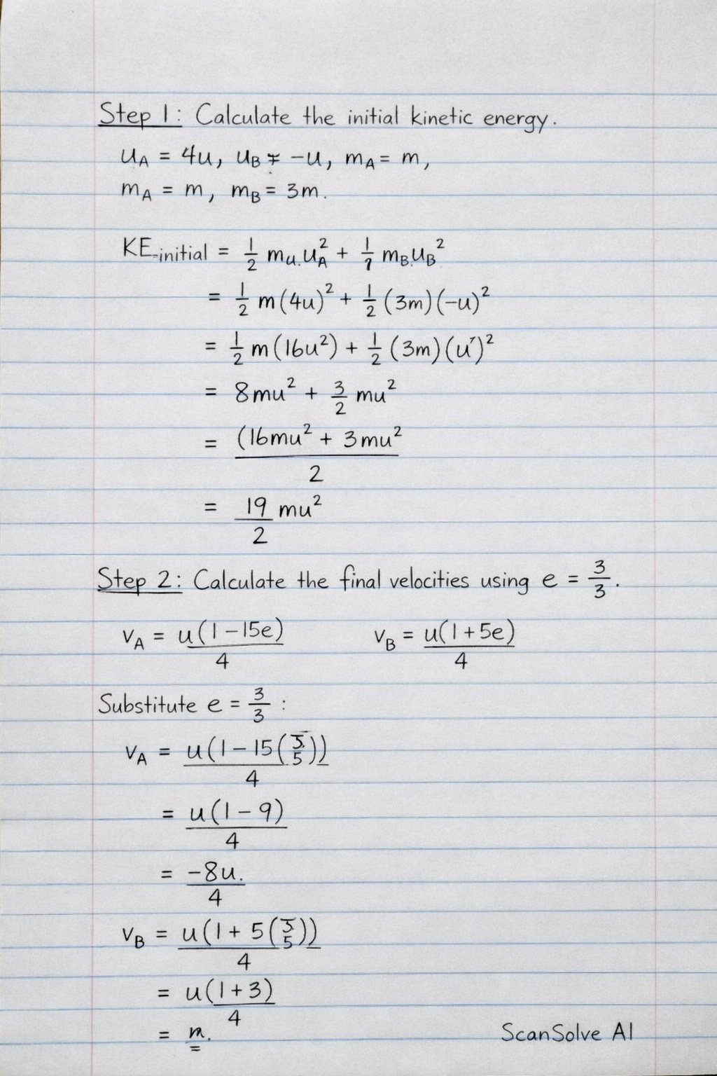
Step 1: Calculate the initial kinetic energy.
The initial velocities are uA=4u and uB=−u. The masses are mA=m and mB=3m.
KEinitial=21mAuA2+21mBuB2
KEinitial=21m(4u)2+21(3m)(−u)2
KEinitial=21m(16u2)+21(3m)(u2)
KEinitial=8mu2+23mu2
KEinitial=216mu2+3mu2
KEinitial=219mu2
Step 2: Calculate the final velocities using e=53.
From the previous calculation, the final velocities are:
vA=4u(1−15e)
vB=4u(1+5e)
Substitute e=53:
vA=4u(1−15(53))=4u(1−9)=4−8u=−2u
vB=4u(1+5(53))=4u(1+3)=44u=u
Step 3: Calculate the final kinetic energy.
KEfinal=21mAvA2+21mBvB2
KEfinal=21m(−2u)2+21(3m)(u)2
KEfinal=21m(4u2)+21(3m)(u2)
KEfinal=2mu2+23mu2
KEfinal=24mu2+3mu2
KEfinal=27mu2
Step 4: Calculate the kinetic energy loss.
Kinetic energy loss is the initial kinetic energy minus the final kinetic energy.
ΔKE=KEinitial−KEfinal
ΔKE=219mu2−27mu2
ΔKE=219−7mu2
ΔKE=212mu2
ΔKE=6mu2
Got more? Send 'em!