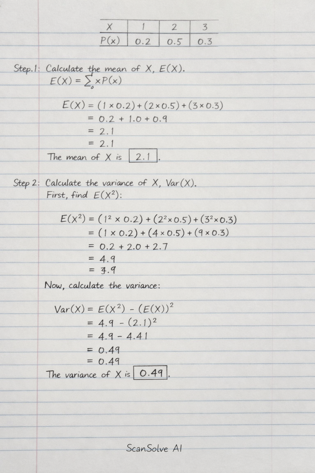
The discrete random variable X has the following probability distribution:
XP(x)10.220.530.3
Step 1: Calculate the mean of X, E(X).
The mean of a discrete random variable is given by E(X)=∑x⋅P(x).
E(X)=(1×0.2)+(2×0.5)+(3×0.3)=0.2+1.0+0.9=2.1
The mean of X is 2.1.
Step 2: Calculate the variance of X, Var(X).
First, we need to calculate E(X2)=∑x2⋅P(x).
E(X2)=(12×0.2)+(22×0.5)+(32×0.3)=(1×0.2)+(4×0.5)+(9×0.3)=0.2+2.0+2.7=4.9
Now, we can calculate the variance using the formula Var(X)=E(X2)−(E(X))2.
Var(X)=4.9−(2.1)2=4.9−4.41=0.49
The variance of X is 0.49.
Step 3: Calculate the mean of g(X)=X2.
The mean of g(X)=X2 is E(X2), which we already calculated in Step 2.
E(X2)=4.9
The mean of g(X)=X2 is 4.9.
Step 4: Calculate the variance of g(X)=X2.
To find Var(X2), we need E((X2)2)=E(X4).
E(X4)=(14×0.2)+(24×0.5)+(34×0.3)=(1×0.2)+(16×0.5)+(81×0.3)=0.2+8.0+24.3=32.5
Now, we can calculate Var(X2)=E(X4)−(E(X2))2.
Var(X2)=32.5−(4.9)2=32.5−24.01=8.49
The variance of g(X)=X2 is 8.49.
Step 5: Calculate the mean of the linear function g(X)=2X+1.
Using the property E(aX+b)=aE(X)+b:
E(2X+1)=2E(X)+1=2(2.1)+1=4.2+1=5.2
The mean of g(X)=2X+1 is 5.2.
Step 6: Calculate the variance of the linear function g(X)=2X+1.
Using the property Var(aX+b)=a2Var(X):
Var(2X+1)=22Var(X)=4×0.49=1.96
The variance of g(X)=2X+1 is 1.96.
That's 2 down. 3 left today — send the next one.