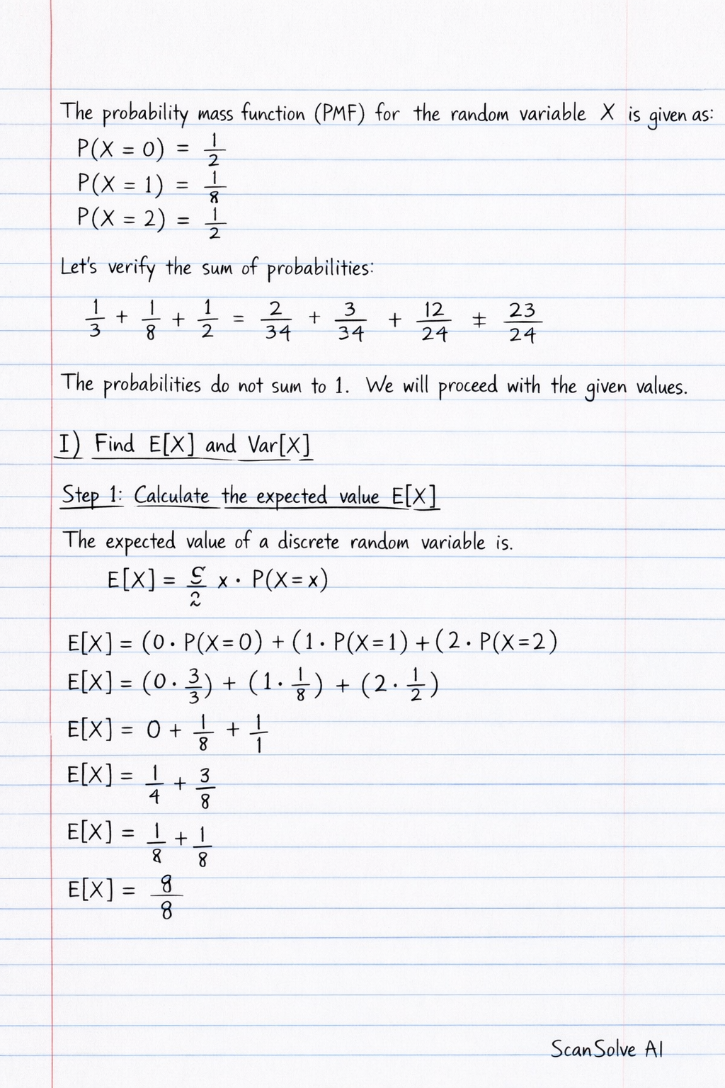
The probability mass function (PMF) for the random variable X is given as:
P(X=0)=31
P(X=1)=81
P(X=2)=21
Let's verify the sum of probabilities:
31+81+21=248+243+2412=2423.
The probabilities do not sum to 1. We will proceed with the given values.
I) Find E[X] and Var[X]
Step 1: Calculate the expected value E[X].
The expected value of a discrete random variable is E[X]=∑x⋅P(X=x).
E[X]=(0⋅P(X=0))+(1⋅P(X=1))+(2⋅P(X=2))
E[X]=(0⋅31)+(1⋅81)+(2⋅21)
E[X]=0+81+1
E[X]=81+88
E[X]=89
Step 2: Calculate E[X2].
The expected value of X2 is E[X2]=∑x2⋅P(X=x).
E[X2]=(02⋅P(X=0))+(12⋅P(X=1))+(22⋅P(X=2))
E[X2]=(0⋅31)+(1⋅81)+(4⋅21)
E[X2]=0+81+2
E[X2]=81+816
E[X2]=817
Step 3: Calculate the variance Var[X].
The variance is given by Var[X]=E[X2]−(E[X])2.
Var[X]=817−(89)2
Var[X]=817−6481
To subtract, find a common denominator, which is 64.
Var[X]=8⋅817⋅8−6481
Var[X]=64136−6481
Var[X]=64136−81
Var[X]=6455
For part I:
E[X] = \frac{9{8}}
Var[X] = \frac{55{64}}
II) Find Var[5X−2]
Step 4: Use the property of variance Var[aX+b]=a2Var[X].
Here, a=5 and b=−2.
Var[5X−2]=52⋅Var[X]
Var[5X−2]=25⋅6455
Var[5X−2]=6425⋅55
Var[5X−2]=641375
For part II:
Var[5X - 2] = \frac{1375{64}}
III) Find Var[7X+47]
Step 5: Use the property of variance Var[aX+b]=a2Var[X].
Here, a=7 and b=47.
Var[7X+47]=72⋅Var[X]
Var[7X+47]=49⋅6455
Var[7X+47]=6449⋅55
Var[7X+47]=642695
For part III:
Var[7X + 47] = \frac{2695{64}}
That's 2 down. 3 left today — send the next one.