Here are the solutions to your problems.
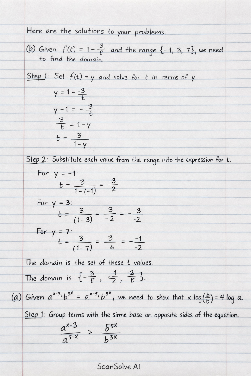
b) Given the function f(t)=1−t3 and the range {−1,3,7}, we need to find the domain.
The range consists of the output values of f(t). We set f(t) equal to each value in the range and solve for t.
Step 1: Set f(t)=y and solve for t in terms of y.
y=1−t3
y−1=−t3
t3=1−y
t=1−y3
Step 2: Substitute each value from the range into the expression for t.
For y=−1:
t=1−(−1)3=1+13=23
For y=3:
t=1−33=−23=−23
For y=7:
t=1−73=−63=−21
The domain is the set of these t values.
The domain is {−23,−21,23}.
a) Given ax−3b3x=a5−xb5x, we need to show that xlog(ba)=4loga.
Step 1: Group terms with the same base on opposite sides of the equation.
a5−xax−3=b3xb5x
Step 2: Apply the exponent rule mqmp=mp−q.
a(x−3)−(5−x)=b5x−3x
ax−3−5+x=b2x
a2x−8=b2x
Step 3: Take the logarithm of both sides.
log(a2x−8)=log(b2x)
Step 4: Apply the logarithm rule log(Mp)=plogM.
(2x−8)loga=2xlogb
Step 5: Distribute and rearrange the terms to isolate x.
2xloga−8loga=2xlogb
2xloga−2xlogb=8loga
Step 6: Factor out 2x from the left side.
2x(loga−logb)=8loga
Step 7: Apply the logarithm rule logM−logN=log(NM).
2xlog(ba)=8loga
Step 8: Divide both sides by 2.
xlog(ba)=4loga
This completes the proof.