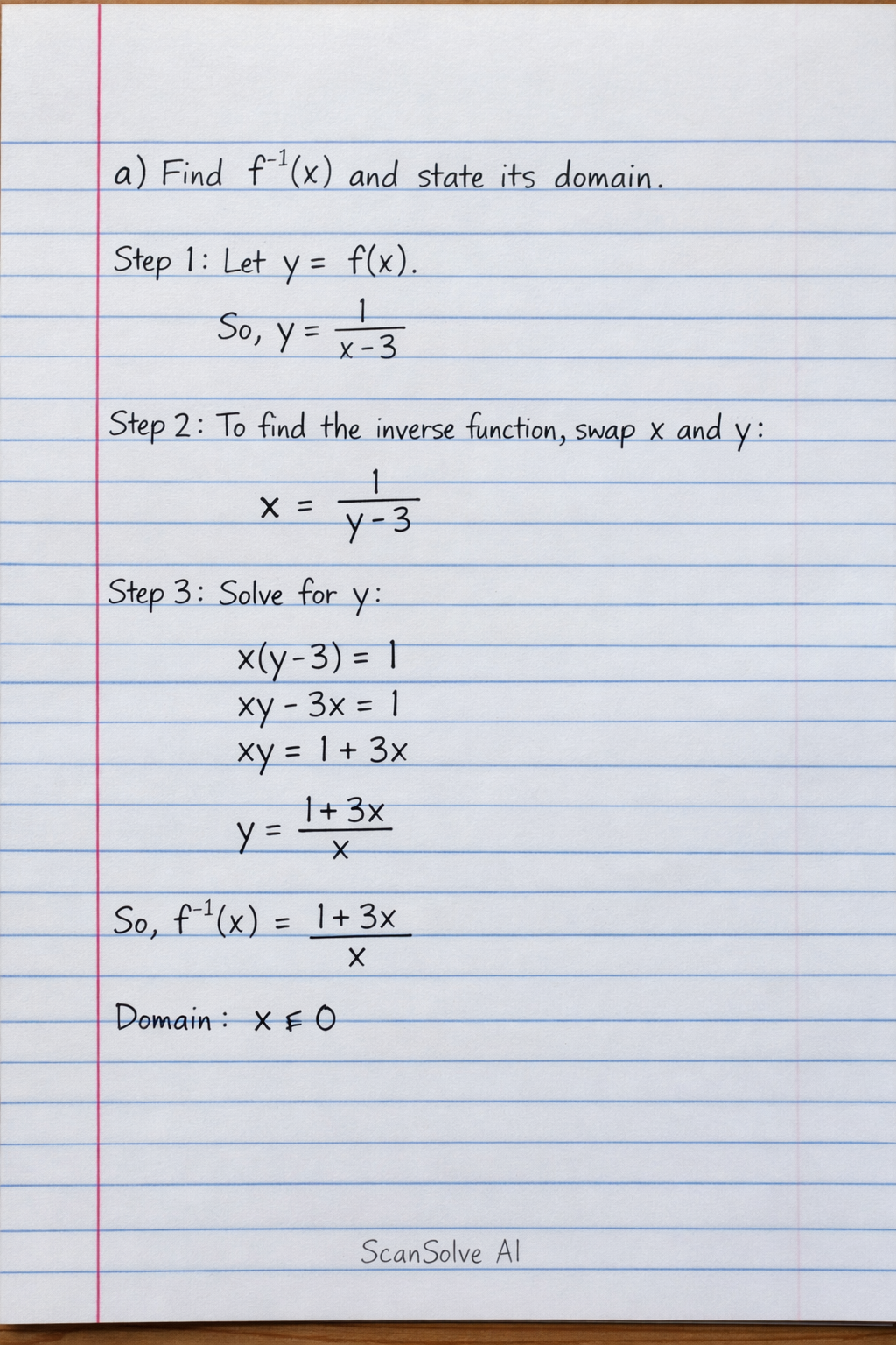
4. The functions f and g are defined by f(x) = (1)/(x-3), x R, x 3 and g(x) = sqrt(x+1), x R, x -1.
This mathematics problem involves applying core mathematical principles and formulas. Below you will find a complete step-by-step solution with detailed explanations for each step, helping you understand not just the answer but the method behind it.

