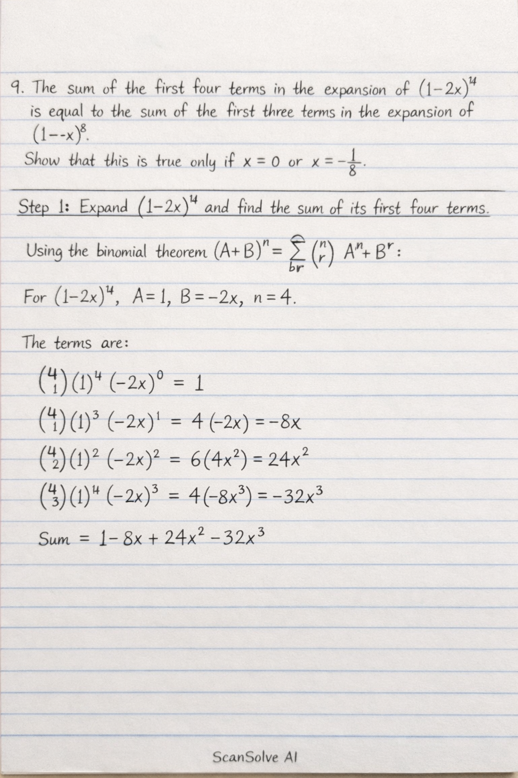
**9. The sum of the first four terms in the expansion of (1-2x)^4 is equal to the sum of the first three terms in the expansion of (1-x)^8. Show that this is true only if x=0 or x=-(1)/(8)
This mathematics problem involves applying core mathematical principles and formulas. Below you will find a complete step-by-step solution with detailed explanations for each step, helping you understand not just the answer but the method behind it.

