Skip to main content
ScanSolve logoScanSolve
Toggle sidebar
  • Homework
  • Tutor
  • Humanizer
  • AI Detector
  • Questions
  • Blog
  • History
  • Mobile App

  • Homework
  • Tutor
  • Humanizer
  • AI Detector

  • Questions
  • Math homework helpMath
    Physics homework helpPhysics
    Chemistry homework helpChemistry
    Biology homework helpBiology
    Computer Science homework helpComputer Science
    History homework helpHistory
    More homework helpMore
  • Blog
  • History

  • Mobile App
ScanSolvePLUS
  • Unlimited answers
  • ScanSolve AI Pro
Start Free Trial →
Try on WhatsApp
Home > Mathematics Homework Help > Solution

a) Given the equation 3x^2 - 4x + 2 = 0, with roots alpha and beta.

Asked on March 28, 2026|Mathematics

This mathematics problem involves applying core mathematical principles and formulas. Below you will find a complete step-by-step solution with detailed explanations for each step, helping you understand not just the answer but the method behind it.

ScanSolve AI AnswerAnswered on March 28, 2026
Here's the solution for question 1(i): a) Given the equation $3x^2 - 4x + 2 = 0$, with roots $\alpha$ and $\beta$. For a quadratic equation $ax^2 + bx + c = 0$, the sum of roots is $\alpha + \beta = -\frac{b}{a}$ and the product of roots is $\alpha\beta = \frac{c}{a}$. In this case, $a=3$, $b=-4$, $c=2$. Step 1: Find the sum and product of the roots. $$ \alpha + \beta = -\frac{-4}{3} = \frac{4}{3} $$ $$ \alpha\beta = \frac{2}{3} $$ Step 2: Use the identity for $\alpha^3 + \beta^3$. We know that $\alpha^3 + \beta^3 = (\alpha + \beta)(\alpha^2 - \alpha\beta + \beta^2)$. Also, $\alpha^2 + \beta^2 = (\alpha + \beta)^2 - 2\alpha\beta$. Substitute this into the identity: $$ \alpha^3 + \beta^3 = (\alpha + \beta)[(\alpha + \beta)^2 - 2\alpha\beta - \alpha\beta] $$ $$ \alpha^3 + \beta^3 = (\alpha + \beta)[(\alpha + \beta)^2 - 3\alpha\beta] $$ Step 3: Substitute the values of $\alpha + \beta$ and $\alpha\beta$. $$ \alpha^3 + \beta^3 = \left(\frac{4}{3}\right)\left[\left(\frac{4}{3}\right)^2 - 3\left(\frac{2}{3}\right)\right] $$ $$ \alpha^3 + \beta^3 = \left(\frac{4}{3}\right)\left[\frac{16}{9} - 2\right] $$ $$ \alpha^3 + \beta^3 = \left(\frac{4}{3}\right)\left[\frac{16}{9} - \frac{18}{9}\right] $$ $$ \alpha^3 + \beta^3 = \left(\frac{4}{3}\right)\left[-\frac{2}{9}\right] $$ $$ \alpha^3 + \beta^3 = -\frac{8}{27} $$ This shows that $\boxed{\alpha^3 + \beta^3 = -\frac{8}{27}}$. b) We need to find the equation with integral coefficients whose roots are $\frac{1}{\alpha^2}$ and $\frac{1}{\beta^2}$. Let the new roots be $p = \frac{1}{\alpha^2}$ and $q = \frac{1}{\beta^2}$. The general form of a quadratic equation is $x^2 - (p+q)x + pq = 0$. Step 1: Calculate the sum of the new roots, $p+q$. $$ p+q = \frac{1}{\alpha^2} + \frac{1}{\beta^2} = \frac{\beta^2 + \alpha^2}{(\alpha\beta)^2} $$ First, find $\alpha^2 + \beta^2$: $$ \alpha^2 + \beta^2 = (\alpha + \beta)^2 - 2\alpha\beta $$ Using values from part a): $\alpha + \beta = \frac{4}{3}$ and $\alpha\beta = \frac{2}{3}$. $$ \alpha^2 + \beta^2 = \left(\frac{4}{3}\right)^2 - 2\left(\frac{2}{3}\right) = \frac{16}{9} - \frac{4}{3} = \frac{16}{9} - \frac{12}{9} = \frac{4}{9} $$ Now substitute this into the sum of new roots: $$ p+q = \frac{\frac{4}{9}}{\left(\frac{2}{3}\right)^2} = \frac{\frac{4}{9}}{\frac{4}{9}} = 1 $$ Step 2: Calculate the product of the new roots, $pq$. $$ pq = \left(\frac{1}{\alpha^2}\right)\left(\frac{1}{\beta^2}\right) = \frac{1}{(\alpha\beta)^2} $$ $$ pq = \frac{1}{\left(\frac{2}{3}\right)^2} = \frac{1}{\frac{4}{9}} = \frac{9}{4} $$ Step 3: Form the new quadratic equation. $$ x^2 - (p+q)x + pq = 0 $$ $$ x^2 - (1)x + \frac{9}{4} = 0 $$ To obtain integral coefficients, multiply the entire equation by 4: $$ 4x^2 - 4x + 9 = 0 $$ The equation with integral coefficients whose roots are $\frac{1}{\alpha^2}$ and $\frac{1}{\beta^2}$ is $\boxed{4x^2 - 4x + 9 = 0}$.

Related Mathematics Questions

  • Simplify the numerator of the fraction.
  • Solve number 12-15
  • Solve number 9-11
  • Find the first three terms in ascending powers of y in the expansion of (1-y)^(1)/(2).
  • Find the binomial expansion of (x-2y)^3.
  • V_3 = 1.2\,A x 2
See all Mathematics questions

This step-by-step solution was generated by ScanSolve AI. Need help with more mathematics problems? Browse Mathematics solutions or ask your own question.

Home›Mathematics Homework Help›a) Given the equation 3x^2 - 4x + 2 = 0, with roots alpha an…
Q

a) Given the equation 3x^2 - 4x + 2 = 0, with roots alpha and beta.

March 28, 2026|Mathematics
a) Given the equation 3x^2 - 4x + 2 = 0, with roots alpha and beta.

a) Given the equation 3x^2 - 4x + 2 = 0, with roots alpha and beta.

ScanSolve AI

ScanSolve AI Answer

Answered on March 28, 2026

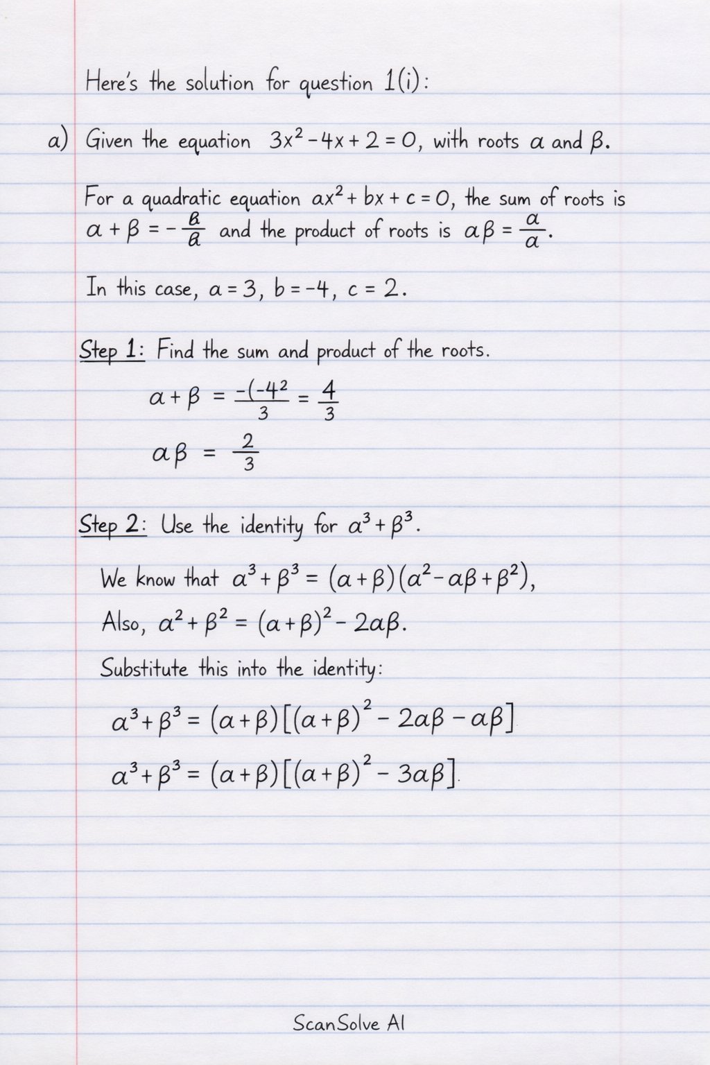
Here's the solution for question 1(i):

a) Given the equation 3x2−4x+2=03x^2 - 4x + 2 = 03x2−4x+2=0, with roots α\alphaα and β\betaβ. For a quadratic equation ax2+bx+c=0ax^2 + bx + c = 0ax2+bx+c=0, the sum of roots is α+β=−ba\alpha + \beta = -\frac{b}{a}α+β=−ab​ and the product of roots is αβ=ca\alpha\beta = \frac{c}{a}αβ=ac​. In this case, a=3a=3a=3, b=−4b=-4b=−4, c=2c=2c=2.

Step 1: Find the sum and product of the roots. α+β=−−43=43\alpha + \beta = -\frac{-4}{3} = \frac{4}{3}α+β=−3−4​=34​ αβ=23\alpha\beta = \frac{2}{3}αβ=32​

Step 2: Use the identity for α3+β3\alpha^3 + \beta^3α3+β3. We know that α3+β3=(α+β)(α2−αβ+β2)\alpha^3 + \beta^3 = (\alpha + \beta)(\alpha^2 - \alpha\beta + \beta^2)α3+β3=(α+β)(α2−αβ+β2). Also, α2+β2=(α+β)2−2αβ\alpha^2 + \beta^2 = (\alpha + \beta)^2 - 2\alpha\betaα2+β2=(α+β)2−2αβ. Substitute this into the identity: α3+β3=(α+β)[(α+β)2−2αβ−αβ]\alpha^3 + \beta^3 = (\alpha + \beta)[(\alpha + \beta)^2 - 2\alpha\beta - \alpha\beta]α3+β3=(α+β)[(α+β)2−2αβ−αβ] α3+β3=(α+β)[(α+β)2−3αβ]\alpha^3 + \beta^3 = (\alpha + \beta)[(\alpha + \beta)^2 - 3\alpha\beta]α3+β3=(α+β)[(α+β)2−3αβ]

Step 3: Substitute the values of α+β\alpha + \betaα+β and αβ\alpha\betaαβ. α3+β3=(43)[(43)2−3(23)]\alpha^3 + \beta^3 = \left(\frac{4}{3}\right)\left[\left(\frac{4}{3}\right)^2 - 3\left(\frac{2}{3}\right)\right]α3+β3=(34​)[(34​)2−3(32​)] α3+β3=(43)[169−2]\alpha^3 + \beta^3 = \left(\frac{4}{3}\right)\left[\frac{16}{9} - 2\right]α3+β3=(34​)[916​−2] α3+β3=(43)[169−189]\alpha^3 + \beta^3 = \left(\frac{4}{3}\right)\left[\frac{16}{9} - \frac{18}{9}\right]α3+β3=(34​)[916​−918​] α3+β3=(43)[−29]\alpha^3 + \beta^3 = \left(\frac{4}{3}\right)\left[-\frac{2}{9}\right]α3+β3=(34​)[−92​] α3+β3=−827\alpha^3 + \beta^3 = -\frac{8}{27}α3+β3=−278​ This shows that α3+β3=−827\boxed{\alpha^3 + \beta^3 = -\frac{8}{27}}α3+β3=−278​​.

b) We need to find the equation with integral coefficients whose roots are 1α2\frac{1}{\alpha^2}α21​ and 1β2\frac{1}{\beta^2}β21​. Let the new roots be p=1α2p = \frac{1}{\alpha^2}p=α21​ and q=1β2q = \frac{1}{\beta^2}q=β21​. The general form of a quadratic equation is x2−(p+q)x+pq=0x^2 - (p+q)x + pq = 0x2−(p+q)x+pq=0.

Step 1: Calculate the sum of the new roots, p+qp+qp+q. p+q=1α2+1β2=β2+α2(αβ)2p+q = \frac{1}{\alpha^2} + \frac{1}{\beta^2} = \frac{\beta^2 + \alpha^2}{(\alpha\beta)^2}p+q=α21​+β21​=(αβ)2β2+α2​ First, find α2+β2\alpha^2 + \beta^2α2+β2: α2+β2=(α+β)2−2αβ\alpha^2 + \beta^2 = (\alpha + \beta)^2 - 2\alpha\betaα2+β2=(α+β)2−2αβ Using values from part a): α+β=43\alpha + \beta = \frac{4}{3}α+β=34​ and αβ=23\alpha\beta = \frac{2}{3}αβ=32​. α2+β2=(43)2−2(23)=169−43=169−129=49\alpha^2 + \beta^2 = \left(\frac{4}{3}\right)^2 - 2\left(\frac{2}{3}\right) = \frac{16}{9} - \frac{4}{3} = \frac{16}{9} - \frac{12}{9} = \frac{4}{9}α2+β2=(34​)2−2(32​)=916​−34​=916​−912​=94​ Now substitute this into the sum of new roots: p+q=49(23)2=4949=1p+q = \frac{\frac{4}{9}}{\left(\frac{2}{3}\right)^2} = \frac{\frac{4}{9}}{\frac{4}{9}} = 1p+q=(32​)294​​=94​94​​=1

Step 2: Calculate the product of the new roots, pqpqpq. pq=(1α2)(1β2)=1(αβ)2pq = \left(\frac{1}{\alpha^2}\right)\left(\frac{1}{\beta^2}\right) = \frac{1}{(\alpha\beta)^2}pq=(α21​)(β21​)=(αβ)21​ pq=1(23)2=149=94pq = \frac{1}{\left(\frac{2}{3}\right)^2} = \frac{1}{\frac{4}{9}} = \frac{9}{4}pq=(32​)21​=94​1​=49​

Step 3: Form the new quadratic equation. x2−(p+q)x+pq=0x^2 - (p+q)x + pq = 0x2−(p+q)x+pq=0 x2−(1)x+94=0x^2 - (1)x + \frac{9}{4} = 0x2−(1)x+49​=0 To obtain integral coefficients, multiply the entire equation by 4: 4x2−4x+9=04x^2 - 4x + 9 = 04x2−4x+9=0 The equation with integral coefficients whose roots are 1α2\frac{1}{\alpha^2}α21​ and 1β2\frac{1}{\beta^2}β21​ is 4x2−4x+9=0\boxed{4x^2 - 4x + 9 = 0}4x2−4x+9=0​.

Need help with your own homework?

Get instant step-by-step solutions to any question. Free to start.

Ask Your Question
Handwritten step-by-step solution

Handwritten Step-by-Step Solution

Get this solution as a handwritten image on WhatsApp — just like a tutor wrote it for you.

Try on WhatsApp

More Mathematics Questions

Simplify the numerator of the fraction.Solve number 12-15Solve number 9-11Find the first three terms in ascending powers of y in the expansion of (1-y)^(1)/(2).Find the binomial expansion of (x-2y)^3.V_3 = 1.2\,A x 2
See all Mathematicsquestions →