This mathematics problem involves applying core mathematical principles and formulas. Below you will find a complete step-by-step solution with detailed explanations for each step, helping you understand not just the answer but the method behind it.

ScanSolve AI Answer
Answer
\frac{4}{3}\pi r^3$.
Here are the solutions to the problems.
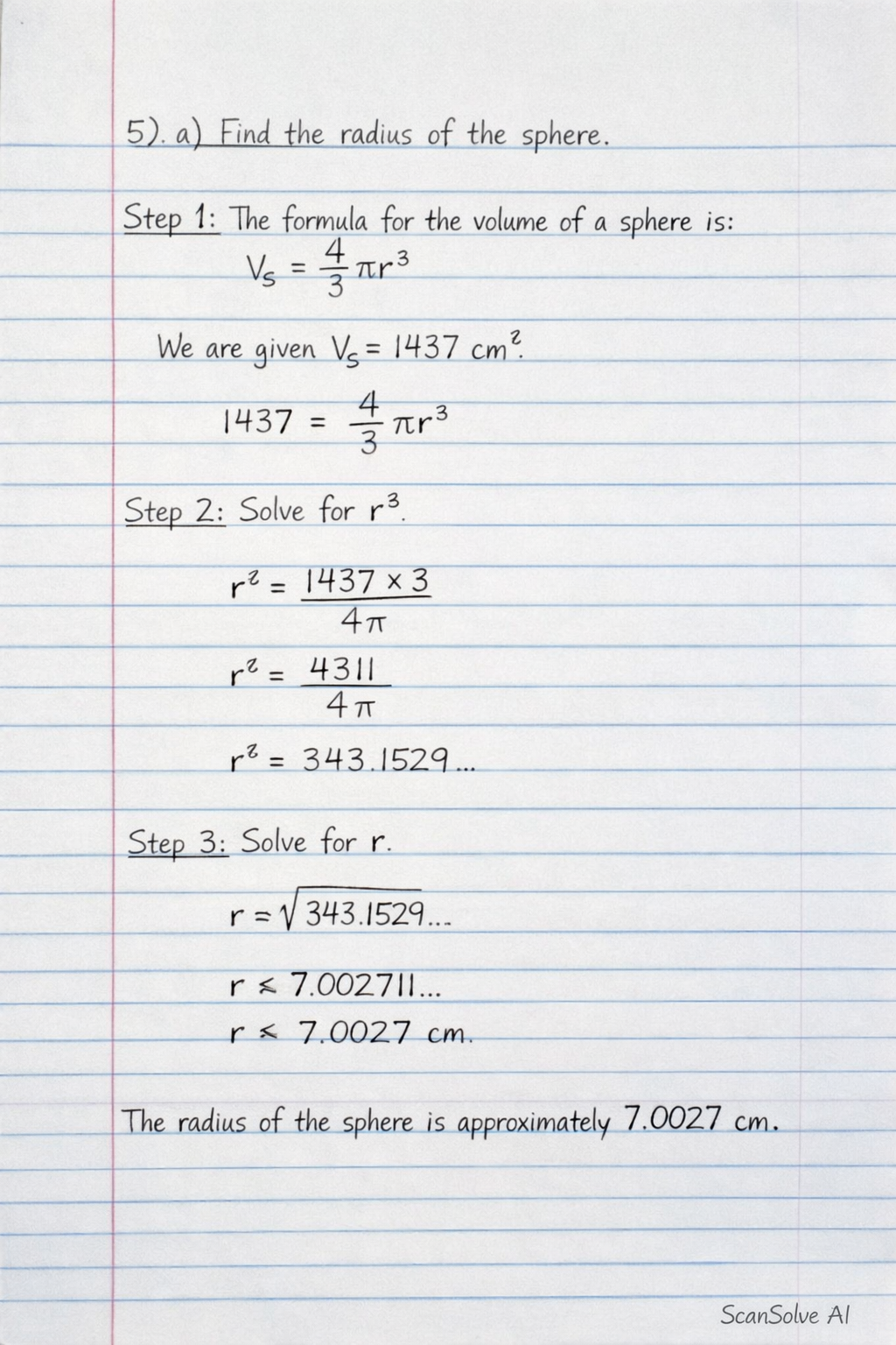
5. A sphere, a cone and a cylinder have equal radii. Their curved surface areas are equal. If the volume of the sphere is . (Give answers to 4 significant figures)
a) Find the radius of the sphere. Step 1: The formula for the volume of a sphere is . We are given . Step 2: Solve for .
Get instant step-by-step solutions to any question. Free to start.
Ask Your Question
Handwritten Step-by-Step Solution
Get this as a handwritten image on WhatsApp — like a tutor wrote it for you.
Try on WhatsAppStill have questions?
The formula for the volume of a sphere is V_s = (4)/(3) r^3. We are given V_s = 1437 cm^3.
This mathematics problem involves applying core mathematical principles and formulas. Below you will find a complete step-by-step solution with detailed explanations for each step, helping you understand not just the answer but the method behind it.