This mathematics problem involves applying core mathematical principles and formulas. Below you will find a complete step-by-step solution with detailed explanations for each step, helping you understand not just the answer but the method behind it.
ScanSolve AI Answer
Answer
(a+b)^n = \sum_{k=0
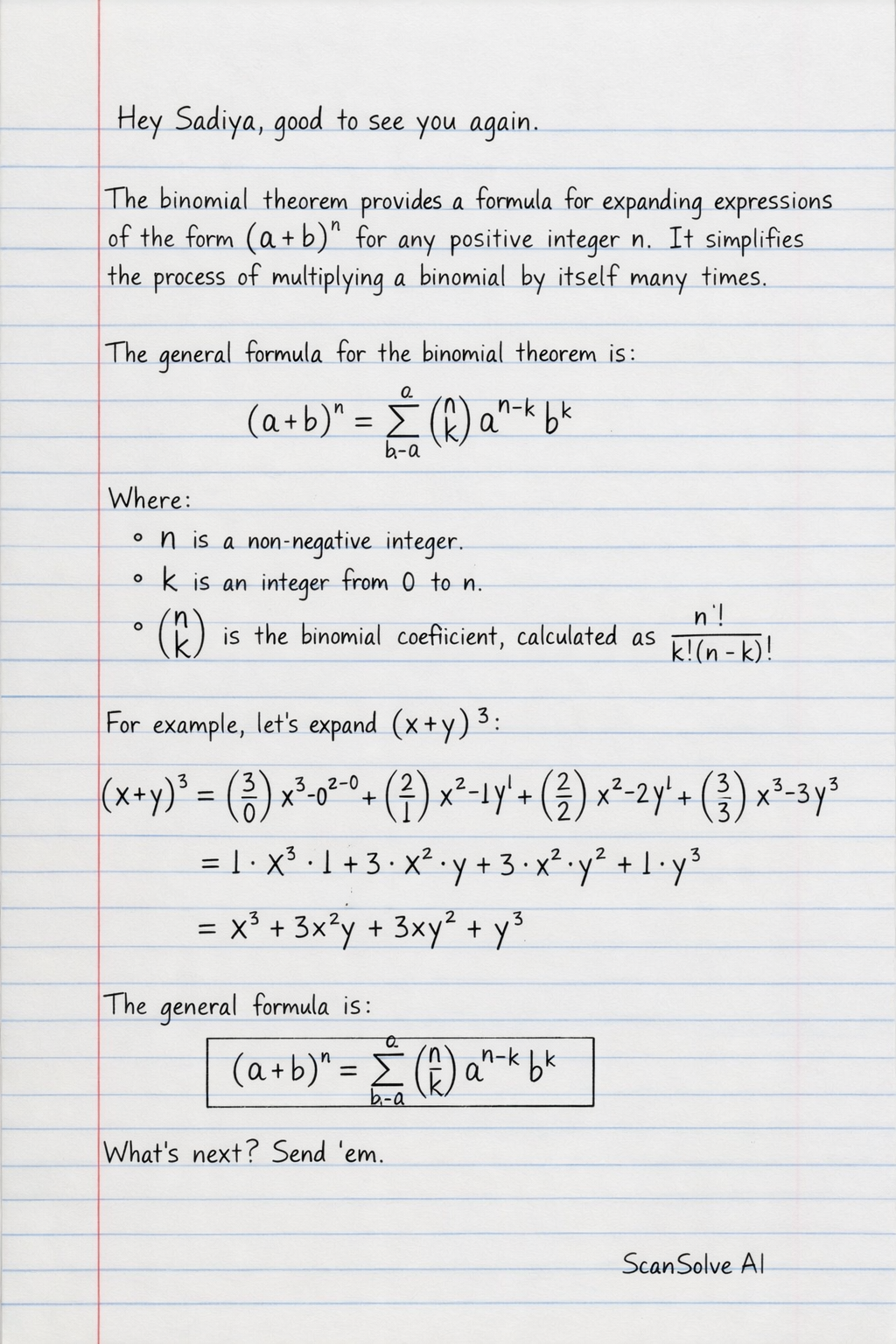
Hey Sadiya, good to see you again.
The binomial theorem provides a formula for expanding expressions of the form for any positive integer . It simplifies the process of multiplying a binomial by itself many times.
The general formula for the binomial theorem is: Where: • is a non-negative integer. • is an integer from to . • is the binomial coefficient, calculated as .
For example, let's expand : \begin{align*} (x+y)^3 &= \binom{3}{0} x^{3-0} y^0 + \binom{3}{1} x^{3-1} y^1 + \binom{3}{2} x^{3-2} y^2 + \binom{3}{3} x^{3-3} y^3 \\ &= 1 \cdot x^3 \cdot 1 + 3 \cdot x^2 \cdot y + 3 \cdot x^1 \cdot y^2 + 1 \cdot 1 \cdot y^3 \\ &= x^3 + 3x^2y + 3xy^2 + y^3 \end{align*} The general formula is: What's next? Send 'em.
Get instant step-by-step solutions to any question. Free to start.
Ask Your Question
Handwritten Step-by-Step Solution
Get this as a handwritten image on WhatsApp — like a tutor wrote it for you.
Try on WhatsAppStill have questions?
Hey Sadiya, good to see you again. The binomial theorem provides a formula for expanding expressions of the form (a+b)^n for any positive integer n.
This mathematics problem involves applying core mathematical principles and formulas. Below you will find a complete step-by-step solution with detailed explanations for each step, helping you understand not just the answer but the method behind it.