This mathematics problem involves applying core mathematical principles and formulas. Below you will find a complete step-by-step solution with detailed explanations for each step, helping you understand not just the answer but the method behind it.
ScanSolve AI Answer
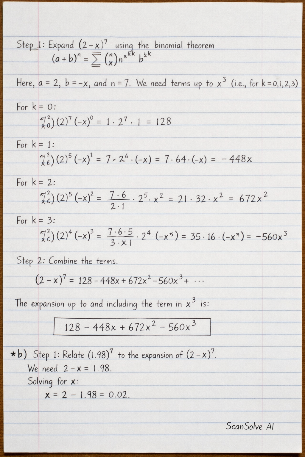
Step 1: Expand $(2-x)^7$ using the binomial theorem $(a+b)^n = \sum_{k=0}^{n} \binom{n}{k} a^{n-k} b^k$.
Here, $a=2$, $b=-x$, and $n=7$. We need terms up to $x^3$ (i.e., for $k=0, 1, 2, 3$).
For $k=0$:
$$ \binom{7}{0} (2)^{7-0} (-x)^0 = 1 \cdot 2^7 \cdot 1 = 128 $$
For $k=1$:
$$ \binom{7}{1} (2)^{7-1} (-x)^1 = 7 \cdot 2^6 \cdot (-x) = 7 \cdot 64 \cdot (-x) = -448x $$
For $k=2$:
$$ \binom{7}{2} (2)^{7-2} (-x)^2 = \frac{7 \cdot 6}{2 \cdot 1} \cdot 2^5 \cdot x^2 = 21 \cdot 32 \cdot x^2 = 672x^2 $$
For $k=3$:
$$ \binom{7}{3} (2)^{7-3} (-x)^3 = \frac{7 \cdot 6 \cdot 5}{3 \cdot 2 \cdot 1} \cdot 2^4 \cdot (-x^3) = 35 \cdot 16 \cdot (-x^3) = -560x^3 $$
Step 2: Combine the terms.
$$ (2-x)^7 = 128 - 448x + 672x^2 - 560x^3 + \dots $$
The expansion up to and including the term in $x^3$ is:
$$ \boxed{128 - 448x + 672x^2 - 560x^3} $$
b)
Step 1: Relate $(1.98)^7$ to the expansion of $(2-x)^7$.
We need $2-x = 1.98$.
Solving for $x$:
$$ x = 2 - 1.98 = 0.02 $$
Step 2: Substitute $x=0.02$ into the expansion obtained in part (a).
$$ (1.98)^7 \approx 128 - 448(0.02) + 672(0.02)^2 - 560(0.02)^3 $$
Step 3: Calculate each term.
$$ 128 $$
$$ -448(0.02) = -8.96 $$
$$ 672(0.02)^2 = 672(0.0004) = 0.2688 $$
$$ -560(0.02)^3 = -560(0.000008) = -0.00448 $$
Step 4: Sum the terms.
$$ (1.98)^7 \approx 128 - 8.96 + 0.2688 - 0.00448 = 119.30432 $$
Step 5: Round the result to four significant figures.
The first four significant figures are 1, 1, 9, 3. The next digit is 0, so we round down.
$$ (1.98)^7 \approx 119.3 $$
The approximate value of $(1.98)^7$ to four significant figures is:
$$ \boxed{119.3} $$
a)
Step 1: Identify the given lengths and apply the Power of a Point Theorem for intersecting secants.
The secants $WQ$ and $YQ$ intersect externally at $Q$.
The theorem states that $QX \cdot QW = QZ \cdot QY$.
From the problem statement and diagram:
$WX = 5$ cm
$XQ = 6$ cm
$WQ = WX + XQ = 5 + 6 = 11$ cm
$ZQ = 4$ cm
Let $YZ = y$. Then $QY = QZ + YZ = 4 + y$.
Step 2: Substitute the values into the theorem equation.
$$ QX \cdot QW = QZ \cdot QY $$
$$ 6 \cdot 11 = 4 \cdot (4 + y) $$
$$ 66 = 16 + 4y $$
Step 3: Solve for $y$ (the length of chord $YZ$).
$$ 66 - 16 = 4y $$
$$ 50 = 4y $$
$$ y = \frac{50}{4} = \frac{25}{2} = 12.5 $$
The length of chord $YZ$ is:
$$ \boxed{12.5 \text{ cm}} $$
b)
Step 1: Apply the Power of a Point Theorem for a tangent and a secant from an external point $Q$.
The theorem states that $SQ^2 = QZ \cdot QY$.
From part (a), we found $YZ = 12.5$ cm.
We are given $ZQ = 4$ cm.
So, $QY = QZ + YZ = 4 + 12.5 = 16.5$ cm.
Step 2: Substitute the values into the theorem equation.
$$ SQ^2 = 4 \cdot 16.5 $$
$$ SQ^2 = 66 $$
Step 3: Solve for $SQ$.
$$ SQ = \sqrt{66} $$
The length of the tangent $SQ$ is:
$$ \boxed{\sqrt{66} \text{ cm}} $$
Step 1: The given formula is $S = \frac{a(1-r^n)}{1-r}$.
We need to make $a$ the subject of the formula.
Step 2: Multiply both sides of the equation by $(1-r)$ to clear the denominator.
$$ S(1-r) = a(1-r^n) $$
Step 3: Divide both sides by $(1-r^n)$ to isolate $a$.
$$ a = \frac{S(1-r)}{1-r^n} $$
The formula with $a$ as the subject is:
$$ \boxed{a = \frac{S(1-r)}{1-r^n}} $$
Send me the next one πΈ
Expand (2-x)^7 using the binomial theorem (a+b)^n = sum_k=0^n nk a^n-k b^k.
|Mathematics
Expand (2-x)^7 using the binomial theorem (a+b)^n = sum_k=0^n nk a^n-k b^k.
ScanSolve AI Answer
Step 1: Expand (2βx)7 using the binomial theorem (a+b)n=βk=0nβ(knβ)anβkbk.
Here, a=2, b=βx, and n=7. We need terms up to x3 (i.e., for k=0,1,2,3).
For k=0:
(07β)(2)7β0(βx)0=1β 27β 1=128
For k=1:
(17β)(2)7β1(βx)1=7β 26β (βx)=7β 64β (βx)=β448x
For k=2:
(27β)(2)7β2(βx)2=2β 17β 6ββ 25β x2=21β 32β x2=672x2
Step 2: Combine the terms.
(2βx)7=128β448x+672x2β560x3+β¦
The expansion up to and including the term in x3 is:
128β448x+672x2β560x3
b)
Step 1: Relate (1.98)7 to the expansion of (2βx)7.
We need 2βx=1.98.
Solving for x:
x=2β1.98=0.02
Step 2: Substitute x=0.02 into the expansion obtained in part (a).
(1.98)7β128β448(0.02)+672(0.02)2β560(0.02)3
Step 3: Calculate each term.
128β448(0.02)=β8.96672(0.02)2=672(0.0004)=0.2688β560(0.02)3=β560(0.000008)=β0.00448
Step 4: Sum the terms.
(1.98)7β128β8.96+0.2688β0.00448=119.30432
Step 5: Round the result to four significant figures.
The first four significant figures are 1, 1, 9, 3. The next digit is 0, so we round down.
(1.98)7β119.3
The approximate value of (1.98)7 to four significant figures is:
119.3
a)
Step 1: Identify the given lengths and apply the Power of a Point Theorem for intersecting secants.
The secants WQ and YQ intersect externally at Q.
The theorem states that QXβ QW=QZβ QY.
From the problem statement and diagram:
WX=5 cm
XQ=6 cm
WQ=WX+XQ=5+6=11 cm
ZQ=4 cm
Let YZ=y. Then QY=QZ+YZ=4+y.
Step 2: Substitute the values into the theorem equation.
QXβ QW=QZβ QY6β 11=4β (4+y)66=16+4y
Step 3: Solve for y (the length of chord YZ).
66β16=4y50=4yy=450β=225β=12.5
The length of chord YZ is:
12.5Β cm
b)
Step 1: Apply the Power of a Point Theorem for a tangent and a secant from an external point Q.
The theorem states that SQ2=QZβ QY.
From part (a), we found YZ=12.5 cm.
We are given ZQ=4 cm.
So, QY=QZ+YZ=4+12.5=16.5 cm.
Step 2: Substitute the values into the theorem equation.
SQ2=4β 16.5SQ2=66
Step 3: Solve for SQ.
SQ=66β
The length of the tangent SQ is:
66cmβ
Step 1: The given formula is S=1βra(1βrn)β.
We need to make a the subject of the formula.
Step 2: Multiply both sides of the equation by (1βr) to clear the denominator.
S(1βr)=a(1βrn)
Step 3: Divide both sides by (1βrn) to isolate a.
a=1βrnS(1βr)β
The formula with a as the subject is:
a = \frac{S(1-r){1-r^n}}
Send me the next one πΈ
Need help with your own homework?
Get instant step-by-step solutions to any question. Free to start.