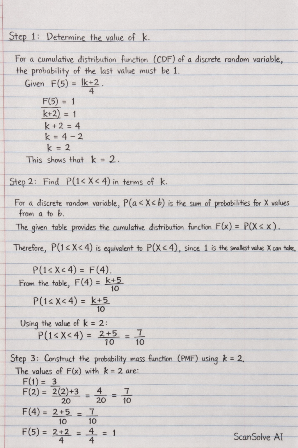
Step 1: Determine the value of k.
For a cumulative distribution function (CDF) of a discrete random variable, the probability of the last value must be 1.
Given F(5)=4k+2.
F(5)=1
4k+2=1
k+2=4
k=4−2
k=2
This shows that k=2.
Step 2: Find P(1≤X≤4) in terms of k.
For a discrete random variable, P(a≤X≤b) is the sum of probabilities for X values from a to b.
The given table provides the cumulative distribution function F(x)=P(X≤x).
Therefore, P(1≤X≤4) is equivalent to P(X≤4), since 1 is the smallest value X can take.
P(1≤X≤4)=F(4)
From the table, F(4)=10k+5.
P(1≤X≤4)=10k+5
Using the value of k=2:
P(1≤X≤4)=102+5=107
Step 3: Construct the probability mass function (PMF) using k=2.
The values of F(x) with k=2 are:
F(1)=103
F(2)=202(2)+3=204+3=207
F(4)=102+5=107
F(5)=42+2=44=1
Now, calculate the individual probabilities P(X=x):
P(X=1)=F(1)=103
P(X=2)=F(2)−F(1)=207−103=207−206=201
P(X=4)=F(4)−F(2)=107−207=2014−207=207
P(X=5)=F(5)−F(4)=1−107=103
The PMF is:
x | P(X=x)
--|-----------
1 | 103
2 | 201
4 | 207
5 | 103
Step 4: Calculate E(X).
E(X)=∑x⋅P(X=x)
E(X)=1⋅103+2⋅201+4⋅207+5⋅103
E(X)=103+202+2028+1015
E(X)=206+202+2028+2030
E(X)=206+2+28+30=2066=1033
E(X)=3.3
Step 5: Calculate Var(X).
First, calculate E(X2):
E(X2)=∑x2⋅P(X=x)