Skip to main content
ScanSolve logoScanSolve
Toggle sidebar
  • Homework
  • Tutor
  • Humanizer
  • AI Detector
  • Questions
  • Blog
  • History
  • Mobile App

  • Homework
  • Tutor
  • Humanizer
  • AI Detector

  • Questions
  • Math homework helpMath
    Physics homework helpPhysics
    Chemistry homework helpChemistry
    Biology homework helpBiology
    Computer Science homework helpComputer Science
    History homework helpHistory
    More homework helpMore
  • Blog
  • History

  • Mobile App
ScanSolvePLUS
  • Unlimited answers
  • ScanSolve AI Pro
Start Free Trial →
Try on WhatsApp
Mathematics: Find the least common denominator (LCD) for the two fractions. — Step-by-Step Solution | ScanSolve
Home > Mathematics Homework Help > Solution

Find the least common denominator (LCD) for the two fractions.

Asked on March 27, 2026|Mathematics

This mathematics problem involves applying core mathematical principles and formulas. Below you will find a complete step-by-step solution with detailed explanations for each step, helping you understand not just the answer but the method behind it.

ScanSolve AI AnswerAnswered on March 27, 2026
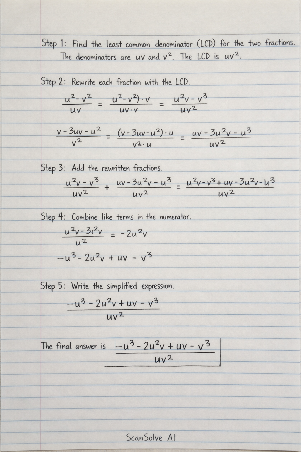
Step 1: Find the least common denominator (LCD) for the two fractions. The denominators are $uv$ and $v^2$. The LCD of $uv$ and $v^2$ is $uv^2$. Step 2: Rewrite each fraction with the LCD. For the first fraction, multiply the numerator and denominator by $v$: $$ \frac{u^2 - v^2}{uv} = \frac{(u^2 - v^2) \cdot v}{uv \cdot v} = \frac{u^2v - v^3}{uv^2} $$ For the second fraction, multiply the numerator and denominator by $u$: $$ \frac{v - 3uv - u^2}{v^2} = \frac{(v - 3uv - u^2) \cdot u}{v^2 \cdot u} = \frac{uv - 3u^2v - u^3}{uv^2} $$ Step 3: Add the rewritten fractions. $$ \frac{u^2v - v^3}{uv^2} + \frac{uv - 3u^2v - u^3}{uv^2} = \frac{u^2v - v^3 + uv - 3u^2v - u^3}{uv^2} $$ Step 4: Combine like terms in the numerator. Combine the terms involving $u^2v$: $u^2v - 3u^2v = -2u^2v$. Rearrange the terms in the numerator: $$ -u^3 - 2u^2v + uv - v^3 $$ Step 5: Write the simplified expression. $$ \frac{-u^3 - 2u^2v + uv - v^3}{uv^2} $$ The final answer is $\boxed{\frac{-u^3 - 2u^2v + uv - v^3}{uv^2}}$.

Related Mathematics Questions

  • Simplify the numerator of the fraction.
  • Solve number 12-15
  • Solve number 9-11
  • Find the first three terms in ascending powers of y in the expansion of (1-y)^(1)/(2).
  • Find the binomial expansion of (x-2y)^3.
  • V_3 = 1.2\,A x 2
See all Mathematics questions

This step-by-step solution was generated by ScanSolve AI. Need help with more mathematics problems? Browse Mathematics solutions or ask your own question.

Home›Mathematics Homework Help›Find the least common denominator (LCD) for the two fraction…
Q

Find the least common denominator (LCD) for the two fractions.

March 27, 2026|Mathematics
Find the least common denominator (LCD) for the two fractions.

Find the least common denominator (LCD) for the two fractions.

ScanSolve AI

ScanSolve AI Answer

Answered on March 27, 2026

Step 1: Find the least common denominator (LCD) for the two fractions. The denominators are uvuvuv and v2v^2v2. The LCD of uvuvuv and v2v^2v2 is uv2uv^2uv2.

Step 2: Rewrite each fraction with the LCD. For the first fraction, multiply the numerator and denominator by vvv: u2−v2uv=(u2−v2)⋅vuv⋅v=u2v−v3uv2\frac{u^2 - v^2}{uv} = \frac{(u^2 - v^2) \cdot v}{uv \cdot v} = \frac{u^2v - v^3}{uv^2}uvu2−v2​=uv⋅v(u2−v2)⋅v​=uv2u2v−v3​ For the second fraction, multiply the numerator and denominator by uuu: v−3uv−u2v2=(v−3uv−u2)⋅uv2⋅u=uv−3u2v−u3uv2\frac{v - 3uv - u^2}{v^2} = \frac{(v - 3uv - u^2) \cdot u}{v^2 \cdot u} = \frac{uv - 3u^2v - u^3}{uv^2}v2v−3uv−u2​=v2⋅u(v−3uv−u2)⋅u​=uv2uv−3u2v−u3​

Step 3: Add the rewritten fractions. u2v−v3uv2+uv−3u2v−u3uv2=u2v−v3+uv−3u2v−u3uv2\frac{u^2v - v^3}{uv^2} + \frac{uv - 3u^2v - u^3}{uv^2} = \frac{u^2v - v^3 + uv - 3u^2v - u^3}{uv^2}uv2u2v−v3​+uv2uv−3u2v−u3​=uv2u2v−v3+uv−3u2v−u3​

Step 4: Combine like terms in the numerator. Combine the terms involving u2vu^2vu2v: u2v−3u2v=−2u2vu^2v - 3u^2v = -2u^2vu2v−3u2v=−2u2v. Rearrange the terms in the numerator: −u3−2u2v+uv−v3-u^3 - 2u^2v + uv - v^3−u3−2u2v+uv−v3

Step 5: Write the simplified expression. −u3−2u2v+uv−v3uv2\frac{-u^3 - 2u^2v + uv - v^3}{uv^2}uv2−u3−2u2v+uv−v3​

The final answer is −u3−2u2v+uv−v3uv2\boxed{\frac{-u^3 - 2u^2v + uv - v^3}{uv^2}}uv2−u3−2u2v+uv−v3​​.

Need help with your own homework?

Get instant step-by-step solutions to any question. Free to start.

Ask Your Question
Handwritten step-by-step solution

Handwritten Step-by-Step Solution

Get this solution as a handwritten image on WhatsApp — just like a tutor wrote it for you.

Try on WhatsApp

More Mathematics Questions

Simplify the numerator of the fraction.Solve number 12-15Solve number 9-11Find the first three terms in ascending powers of y in the expansion of (1-y)^(1)/(2).Find the binomial expansion of (x-2y)^3.V_3 = 1.2\,A x 2
See all Mathematicsquestions →