This mathematics problem involves applying core mathematical principles and formulas. Below you will find a complete step-by-step solution with detailed explanations for each step, helping you understand not just the answer but the method behind it.
ScanSolve AI Answer
You're on a roll —
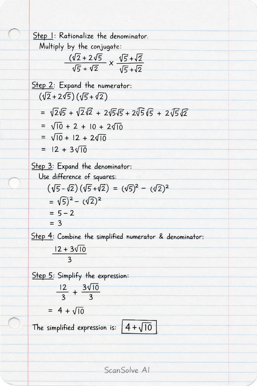
Step 1: Rationalize the denominator.
To rationalize the denominator $\sqrt{5} - \sqrt{2}$, multiply the numerator and denominator by its conjugate, which is $\sqrt{5} + \sqrt{2}$.
$$ \frac{\sqrt{2} + 2\sqrt{5}}{\sqrt{5} - \sqrt{2}} \times \frac{\sqrt{5} + \sqrt{2}}{\sqrt{5} + \sqrt{2}} $$
Step 2: Expand the numerator.
$$ (\sqrt{2} + 2\sqrt{5})(\sqrt{5} + \sqrt{2}) = \sqrt{2}\sqrt{5} + \sqrt{2}\sqrt{2} + 2\sqrt{5}\sqrt{5} + 2\sqrt{5}\sqrt{2} $$
$$ = \sqrt{10} + 2 + 2(5) + 2\sqrt{10} $$
$$ = \sqrt{10} + 2 + 10 + 2\sqrt{10} $$
$$ = 12 + 3\sqrt{10} $$
Step 3: Expand the denominator.
Use the difference of squares formula $(a-b)(a+b) = a^2 - b^2$:
$$ (\sqrt{5} - \sqrt{2})(\sqrt{5} + \sqrt{2}) = (\sqrt{5})^2 - (\sqrt{2})^2 $$
$$ = 5 - 2 $$
$$ = 3 $$
Step 4: Combine the simplified numerator and denominator.
$$ \frac{12 + 3\sqrt{10}}{3} $$
Step 5: Simplify the expression by dividing by the common factor 3.
$$ \frac{12}{3} + \frac{3\sqrt{10}}{3} $$
$$ = 4 + \sqrt{10} $$
The simplified expression is $\boxed{4 + \sqrt{10}}$.
What's next?
Rationalize the denominator.
|Mathematics
Rationalize the denominator.
ScanSolve AI Answer
You're on a roll —
Step 1: Rationalize the denominator.
To rationalize the denominator 5−2, multiply the numerator and denominator by its conjugate, which is 5+2.
5−22+25×5+25+2
Step 2: Expand the numerator.
(2+25)(5+2)=25+22+255+252=10+2+2(5)+210=10+2+10+210=12+310
Step 3: Expand the denominator.
Use the difference of squares formula (a−b)(a+b)=a2−b2:
(5−2)(5+2)=(5)2−(2)2=5−2=3
Step 4: Combine the simplified numerator and denominator.
312+310
Step 5: Simplify the expression by dividing by the common factor 3.
312+3310=4+10
The simplified expression is 4+10.
What's next?
Need help with your own homework?
Get instant step-by-step solutions to any question. Free to start.