Skip to main content
ScanSolve logoScanSolve
Toggle sidebar
  • Homework
  • Tutor
  • Humanizer
  • AI Detector
  • Questions
  • Blog
  • History
  • Mobile App

  • Homework
  • Tutor
  • Humanizer
  • AI Detector

  • Questions
  • Math homework helpMath
    Physics homework helpPhysics
    Chemistry homework helpChemistry
    Biology homework helpBiology
    Computer Science homework helpComputer Science
    History homework helpHistory
    More homework helpMore
  • Blog
  • History

  • Mobile App
ScanSolvePLUS
  • Unlimited answers
  • ScanSolve AI Pro
Start Free Trial →
Try on WhatsApp
Home > Mathematics Homework Help > Solution

Simplify the numerator of the fraction.

Asked on March 28, 2026|Mathematics

This mathematics problem involves applying core mathematical principles and formulas. Below you will find a complete step-by-step solution with detailed explanations for each step, helping you understand not just the answer but the method behind it.

ScanSolve AI AnswerAnswered on March 28, 2026
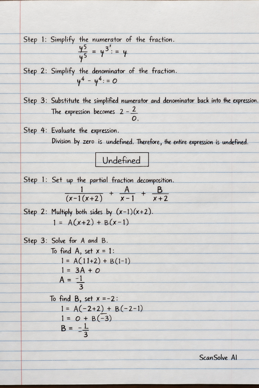
Step 1: Simplify the numerator of the fraction. $$\frac{y^5}{y^4} = y^{5-4} = y$$ Step 2: Simplify the denominator of the fraction. $$y^4 - y^4 = 0$$ Step 3: Substitute the simplified numerator and denominator back into the expression. The expression becomes $2 - \left(\frac{y}{0}\right)$. Step 4: Evaluate the expression. Division by zero is undefined. Therefore, the entire expression is undefined. $$\boxed{\text{Undefined}}$$ Step 1: Set up the partial fraction decomposition. $$\frac{1}{(x-1)(x+2)} = \frac{A}{x-1} + \frac{B}{x+2}$$ Step 2: Multiply both sides by the common denominator $(x-1)(x+2)$. $$1 = A(x+2) + B(x-1)$$ Step 3: Solve for $A$ and $B$ using the cover-up method or by equating coefficients. To find $A$, set $x=1$: $$1 = A(1+2) + B(1-1)$$ $$1 = 3A + 0$$ $$A = \frac{1}{3}$$ To find $B$, set $x=-2$: $$1 = A(-2+2) + B(-2-1)$$ $$1 = 0 + B(-3)$$ $$B = -\frac{1}{3}$$ Step 4: Substitute the values of $A$ and $B$ back into the partial fraction decomposition. $$\frac{1}{(x-1)(x+2)} = \frac{\frac{1}{3}}{x-1} + \frac{-\frac{1}{3}}{x+2}$$ $$\frac{1}{(x-1)(x+2)} = \frac{1}{3(x-1)} - \frac{1}{3(x+2)}$$ $$\boxed{\frac{1}{3(x-1)} - \frac{1}{3(x+2)}}$$ Step 1: Set up the partial fraction decomposition. For a repeated linear factor $(x-2)^2$, the decomposition includes terms $\frac{A}{x-2}$ and $\frac{B}{(x-2)^2}$. $$\frac{3}{(x-2)^2(x+1)} = \frac{A}{x-2} + \frac{B}{(x-2)^2} + \frac{C}{x+1}$$ Step 2: Multiply both sides by the common denominator $(x-2)^2(x+1)$. $$3 = A(x-2)(x+1) + B(x+1) + C(x-2)^2$$ Step 3: Solve for $A$, $B$, and $C$ using strategic values of $x$. To find $B$, set $x=2$: $$3 = A(2-2)(2+1) + B(2+1) + C(2-2)^2$$ $$3 = A(0) + B(3) + C(0)$$ $$3 = 3B \Rightarrow B = 1$$ To find $C$, set $x=-1$: $$3 = A(-1-2)(-1+1) + B(-1+1) + C(-1-2)^2$$ $$3 = A(0) + B(0) + C(-3)^2$$ $$3 = 9C \Rightarrow C = \frac{3}{9} = \frac{1}{3}$$ To find $A$, choose a convenient value for $x$, such as $x=0$, and substitute the known values of $B$ and $C$: $$3 = A(0-2)(0+1) + B(0+1) + C(0-2)^2$$ $$3 = A(-2)(1) + B(1) + C(-2)^2$$ $$3 = -2A + B + 4C$$ Substitute $B=1$ and $C=\frac{1}{3}$: $$3 = -2A + 1 + 4\left(\frac{1}{3}\right)$$ $$3 = -2A + 1 + \frac{4}{3}$$ $$3 - 1 - \frac{4}{3} = -2A$$ $$2 - \frac{4}{3} = -2A$$ $$\frac{6}{3} - \frac{4}{3} = -2A$$ $$\frac{2}{3} = -2A$$ $$A = \frac{2}{3} \times \left(-\frac{1}{2}\right) = -\frac{1}{3}$$ Step 4: Substitute the values of $A$, $B$, and $C$ back into the partial fraction decomposition. $$\frac{3}{(x-2)^2(x+1)} = \frac{-\frac{1}{3}}{x-2} + \frac{1}{(x-2)^2} + \frac{\frac{1}{3}}{x+1}$$ $$\frac{3}{(x-2)^2(x+1)} = -\frac{1}{3(x-2)} + \frac{1}{(x-2)^2} + \frac{1}{3(x+1)}$$ $$\boxed{-\frac{1}{3(x-2)} + \frac{1}{(x-2)^2} + \frac{1}{3(x+1)}}$$

Related Mathematics Questions

  • Solve number 5-7 na please
  • Simplify the complex fraction.
  • for the term that describes the ratio between the amounts of muscle and fat in the body.
  • Solve number 12-15
  • Solve number 9-11
  • Find the first three terms in ascending powers of y in the expansion of (1-y)^(1)/(2).
See all Mathematics questions

This step-by-step solution was generated by ScanSolve AI. Need help with more mathematics problems? Browse Mathematics solutions or ask your own question.

Home›Mathematics Homework Help›Simplify the numerator of the fraction.
Q

Simplify the numerator of the fraction.

March 28, 2026|Mathematics
Simplify the numerator of the fraction.

Simplify the numerator of the fraction.

ScanSolve AI

ScanSolve AI Answer

Answered on March 28, 2026

Step 1: Simplify the numerator of the fraction. y5y4=y5−4=y\frac{y^5}{y^4} = y^{5-4} = yy4y5​=y5−4=y

Step 2: Simplify the denominator of the fraction. y4−y4=0y^4 - y^4 = 0y4−y4=0

Step 3: Substitute the simplified numerator and denominator back into the expression. The expression becomes 2−(y0)2 - \left(\frac{y}{0}\right)2−(0y​).

Step 4: Evaluate the expression. Division by zero is undefined. Therefore, the entire expression is undefined.

Undefined\boxed{Undefined}Undefined​

Step 1: Set up the partial fraction decomposition. 1(x−1)(x+2)=Ax−1+Bx+2\frac{1}{(x-1)(x+2)} = \frac{A}{x-1} + \frac{B}{x+2}(x−1)(x+2)1​=x−1A​+x+2B​

Step 2: Multiply both sides by the common denominator (x−1)(x+2)(x-1)(x+2)(x−1)(x+2). 1=A(x+2)+B(x−1)1 = A(x+2) + B(x-1)1=A(x+2)+B(x−1)

Step 3: Solve for AAA and BBB using the cover-up method or by equating coefficients.

  • To find AAA, set x=1x=1x=1: 1=A(1+2)+B(1−1)1 = A(1+2) + B(1-1)1=A(1+2)+B(1−1) 1=3A+01 = 3A + 01=3A+0 A=13A = \frac{1}{3}A=31​
  • To find BBB, set x=−2x=-2x=−2: 1=A(−2+2)+B(−2−1)1 = A(-2+2) + B(-2-1)1=A(−2+2)+B(−2−1) 1=0+B(−3)1 = 0 + B(-3)1=0+B(−3) B=−13B = -\frac{1}{3}B=−31​

Step 4: Substitute the values of AAA and BBB back into the partial fraction decomposition. 1(x−1)(x+2)=13x−1+−13x+2\frac{1}{(x-1)(x+2)} = \frac{\frac{1}{3}}{x-1} + \frac{-\frac{1}{3}}{x+2}(x−1)(x+2)1​=x−131​​+x+2−31​​ 1(x−1)(x+2)=13(x−1)−13(x+2)\frac{1}{(x-1)(x+2)} = \frac{1}{3(x-1)} - \frac{1}{3(x+2)}(x−1)(x+2)1​=3(x−1)1​−3(x+2)1​

13(x−1)−13(x+2)\boxed{\frac{1}{3(x-1)} - \frac{1}{3(x+2)}}3(x−1)1​−3(x+2)1​​

Step 1: Set up the partial fraction decomposition. For a repeated linear factor (x−2)2(x-2)^2(x−2)2, the decomposition includes terms Ax−2\frac{A}{x-2}x−2A​ and B(x−2)2\frac{B}{(x-2)^2}(x−2)2B​. 3(x−2)2(x+1)=Ax−2+B(x−2)2+Cx+1\frac{3}{(x-2)^2(x+1)} = \frac{A}{x-2} + \frac{B}{(x-2)^2} + \frac{C}{x+1}(x−2)2(x+1)3​=x−2A​+(x−2)2B​+x+1C​

Step 2: Multiply both sides by the common denominator (x−2)2(x+1)(x-2)^2(x+1)(x−2)2(x+1). 3=A(x−2)(x+1)+B(x+1)+C(x−2)23 = A(x-2)(x+1) + B(x+1) + C(x-2)^23=A(x−2)(x+1)+B(x+1)+C(x−2)2

Step 3: Solve for AAA, BBB, and CCC using strategic values of xxx.

  • To find BBB, set x=2x=2x=2: 3=A(2−2)(2+1)+B(2+1)+C(2−2)23 = A(2-2)(2+1) + B(2+1) + C(2-2)^23=A(2−2)(2+1)+B(2+1)+C(2−2)2 3=A(0)+B(3)+C(0)3 = A(0) + B(3) + C(0)3=A(0)+B(3)+C(0) 3=3B⇒B=13 = 3B \Rightarrow B = 13=3B⇒B=1
  • To find CCC, set x=−1x=-1x=−1: 3=A(−1−2)(−1+1)+B(−1+1)+C(−1−2)23 = A(-1-2)(-1+1) + B(-1+1) + C(-1-2)^23=A(−1−2)(−1+1)+B(−1+1)+C(−1−2)2 3=A(0)+B(0)+C(−3)23 = A(0) + B(0) + C(-3)^23=A(0)+B(0)+C(−3)2 3=9C⇒C=39=133 = 9C \Rightarrow C = \frac{3}{9} = \frac{1}{3}3=9C⇒C=93​=31​
  • To find AAA, choose a convenient value for xxx, such as x=0x=0x=0, and substitute the known values of BBB and CCC: 3=A(0−2)(0+1)+B(0+1)+C(0−2)23 = A(0-2)(0+1) + B(0+1) + C(0-2)^23=A(0−2)(0+1)+B(0+1)+C(0−2)2 3=A(−2)(1)+B(1)+C(−2)23 = A(-2)(1) + B(1) + C(-2)^23=A(−2)(1)+B(1)+C(−2)2 3=−2A+B+4C3 = -2A + B + 4C3=−2A+B+4C Substitute B=1B=1B=1 and C=13C=\frac{1}{3}C=31​: 3=−2A+1+4(13)3 = -2A + 1 + 4\left(\frac{1}{3}\right)3=−2A+1+4(31​) 3=−2A+1+433 = -2A + 1 + \frac{4}{3}3=−2A+1+34​ 3−1−43=−2A3 - 1 - \frac{4}{3} = -2A3−1−34​=−2A 2−43=−2A2 - \frac{4}{3} = -2A2−34​=−2A 63−43=−2A\frac{6}{3} - \frac{4}{3} = -2A36​−34​=−2A 23=−2A\frac{2}{3} = -2A32​=−2A A=23×(−12)=−13A = \frac{2}{3} \times \left(-\frac{1}{2}\right) = -\frac{1}{3}A=32​×(−21​)=−31​

Step 4: Substitute the values of AAA, BBB, and CCC back into the partial fraction decomposition. 3(x−2)2(x+1)=−13x−2+1(x−2)2+13x+1\frac{3}{(x-2)^2(x+1)} = \frac{-\frac{1}{3}}{x-2} + \frac{1}{(x-2)^2} + \frac{\frac{1}{3}}{x+1}(x−2)2(x+1)3​=x−2−31​​+(x−2)21​+x+131​​ 3(x−2)2(x+1)=−13(x−2)+1(x−2)2+13(x+1)\frac{3}{(x-2)^2(x+1)} = -\frac{1}{3(x-2)} + \frac{1}{(x-2)^2} + \frac{1}{3(x+1)}(x−2)2(x+1)3​=−3(x−2)1​+(x−2)21​+3(x+1)1​

−13(x−2)+1(x−2)2+13(x+1)\boxed{-\frac{1}{3(x-2)} + \frac{1}{(x-2)^2} + \frac{1}{3(x+1)}}−3(x−2)1​+(x−2)21​+3(x+1)1​​

Need help with your own homework?

Get instant step-by-step solutions to any question. Free to start.

Ask Your Question
Handwritten step-by-step solution

Handwritten Step-by-Step Solution

Get this solution as a handwritten image on WhatsApp — just like a tutor wrote it for you.

Try on WhatsApp

More Mathematics Questions

Solve number 5-7 na pleaseSimplify the complex fraction.for the term that describes the ratio between the amounts of muscle and fat in the body.Solve number 12-15Solve number 9-11Find the first three terms in ascending powers of y in the expansion of (1-y)^(1)/(2).
See all Mathematicsquestions →