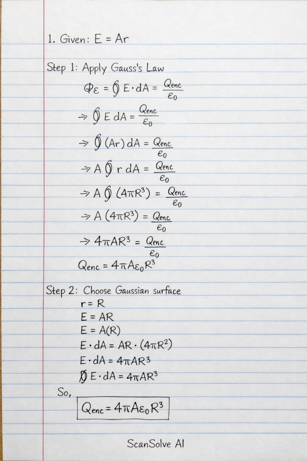
Apply Gauss's Law, which states that the total electric flux through a closed surface is equal to the total charge enclosed divided by the permittivity of free space (_0).
This physics problem tests your understanding of fundamental physical laws and their applications. The step-by-step solution below breaks down the problem using relevant equations and physical reasoning.

