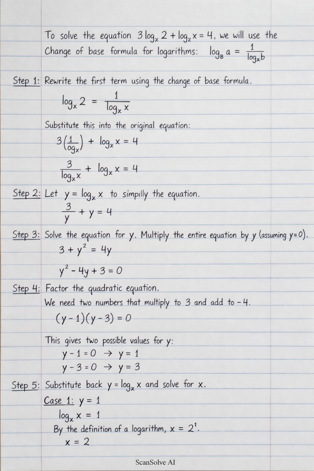
3log2 to the base x + logx to the base 2=4
This chemistry question involves key chemical concepts and calculations. The detailed solution below walks through each step, from identifying the reaction type to computing the final answer.
This chemistry question involves key chemical concepts and calculations. The detailed solution below walks through each step, from identifying the reaction type to computing the final answer.
ScanSolve AI Answer
To solve the equation , we will use the change of base formula for logarithms, specifically .
Step 1: Rewrite the first term using the change of base formula. Substitute this into the original equation:
Step 2: Let to simplify the equation.
Step 3: Solve the equation for . Multiply the entire equation by (assuming ). Rearrange the terms to form a quadratic equation:
Step 4: Factor the quadratic equation. We need two numbers that multiply to 3 and add to -4. These numbers are -1 and -3. This gives two possible values for :
Step 5: Substitute back and solve for .
Case 1: By the definition of a logarithm, .
Case 2: By the definition of a logarithm, .
Step 6: Check the solutions. For : . This is correct.
For : . This is correct.
Both solutions are valid.
The solutions are .
Get instant step-by-step solutions to any question. Free to start.
Ask Your Question
Handwritten Step-by-Step Solution
Get this solution as a handwritten image on WhatsApp — just like a tutor wrote it for you.
Try on WhatsApp