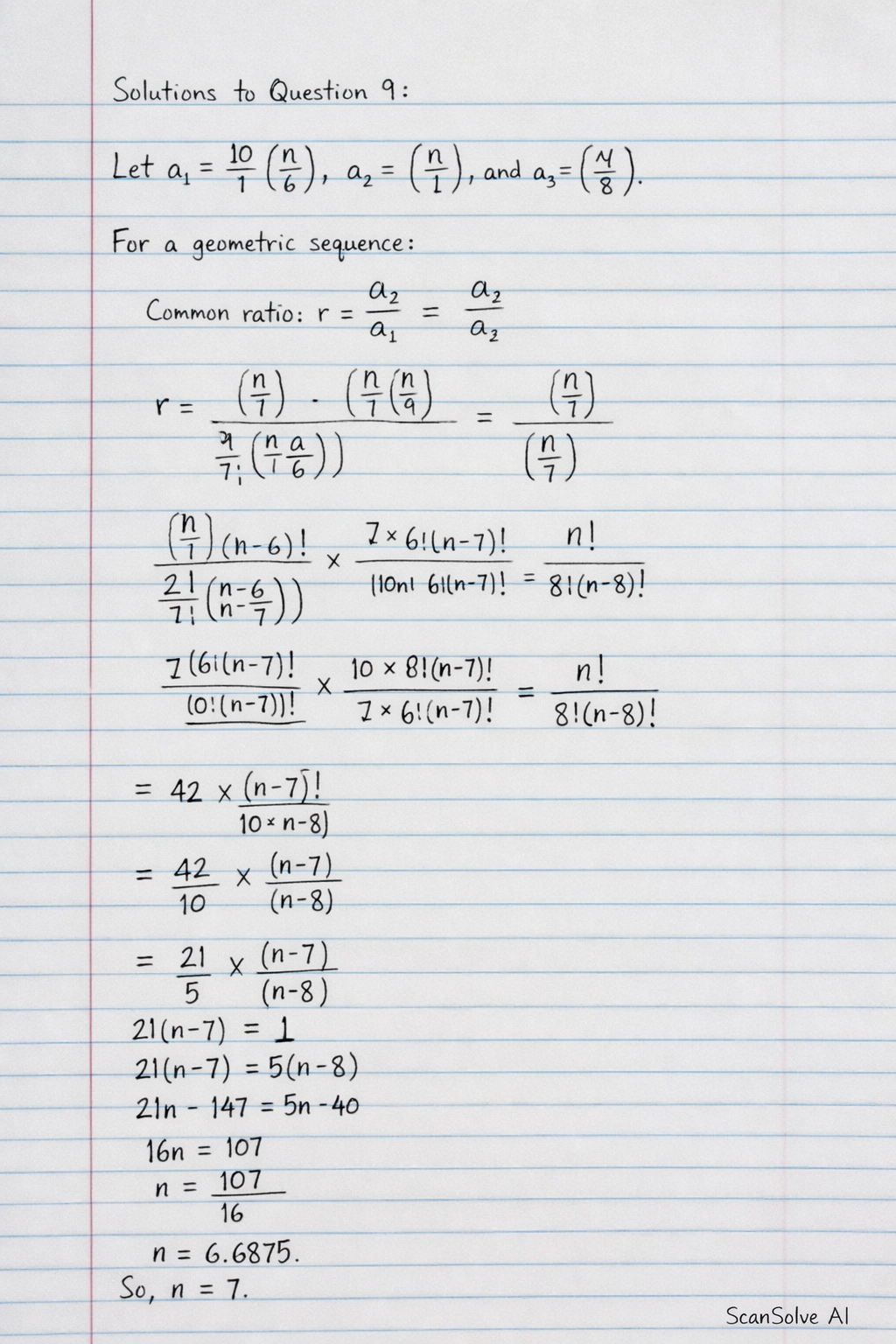
Given that (10)/(7) n6, n7, and n8 are the first three consecutive terms of a geometric sequence (G.P.).
This mathematics problem involves applying core mathematical principles and formulas. Below you will find a complete step-by-step solution with detailed explanations for each step, helping you understand not just the answer but the method behind it.

