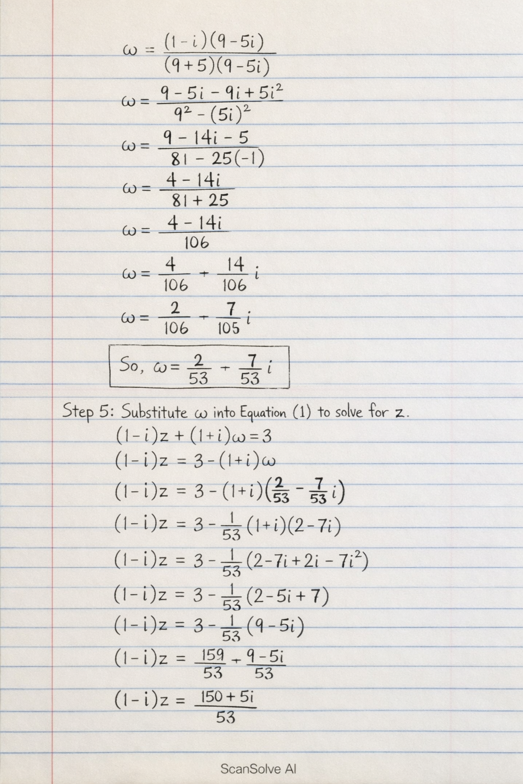
ω=(9+5i)(9−5i)(1−i)(9−5i)
ω=92−(5i)29−5i−9i+5i2
ω=81−25i29−14i−5
ω=81+254−14i
ω=1064−14i
ω=1064−10614i
ω=532−537i
So, ω=532−537i.
Step 5: Substitute ω into Equation (1) to solve for z.
(1−i)z+(1+i)ω=3
(1−i)z=3−(1+i)ω
(1−i)z=3−(1+i)(532−537i)
(1−i)z=3−531(1+i)(2−7i)
(1−i)z=3−531(2−7i+2i−7i2)
(1−i)z=3−531(2−5i+7)
(1−i)z=3−531(9−5i)
(1−i)z=533×53−539−5i
(1−i)z=53159−(9−5i)
(1−i)z=53159−9+5i
(1−i)z=53150+5i
Step 6: Solve for z.
z=53(1−i)150+5i
z=53−53i150+5i
Multiply the numerator and denominator by the conjugate of the denominator, 53+53i:
z=53−53i150+5i×53+53i53+53i
z=532−(53i)2(150+5i)(53+53i)
z=532−532i2150×53+150×53i+5i×53+5i×53i
z=2809+28097950+7950i+265i+265i2
z=56187950+8215i−265
z=56187685+8215i
z=56187685+56188215i
Both numerator and denominator are divisible by 53:
7685÷53=145
8215÷53=155
5618÷53=106
z=106145+106155i
So, z=106145+106155i.
That's 2 down. 3 left today — send the next one.