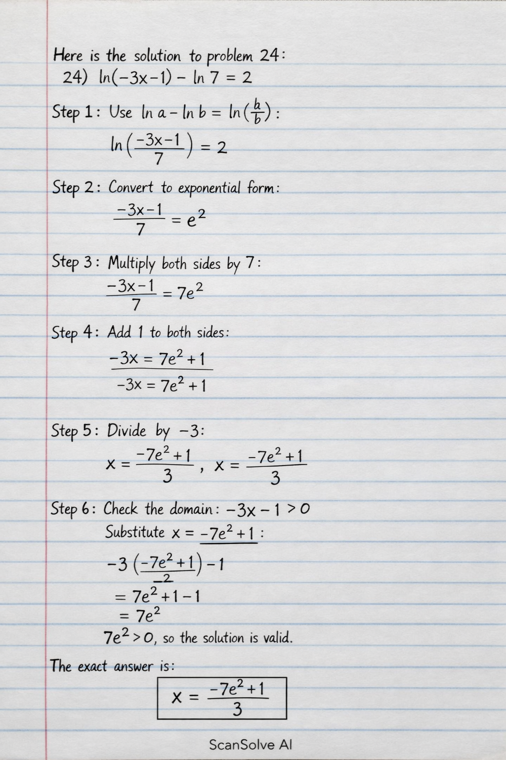
Here is the solution to problem 24:
24) ln(−3x−1)−ln7=2
Step 1: Use the logarithm property lna−lnb=lnba to combine the terms on the left side.
ln(7−3x−1)=2
Step 2: Convert the logarithmic equation to an exponential equation. Recall that lny=x is equivalent to y=ex.
7−3x−1=e2
Step 3: Multiply both sides by 7.
−3x−1=7e2
Step 4: Add 1 to both sides.
−3x=7e2+1
Step 5: Divide by -3 to solve for x.
x=−37e2+1
x=−37e2+1
Step 6: Check the domain. The argument of the logarithm, −3x−1, must be greater than 0.
Substitute the value of x:
−3(−37e2+1)−1
=(7e2+1)−1
=7e2
Since e2 is positive, 7e2 is positive. Thus, the solution is valid.
The exact answer is:
x=−37e2+1