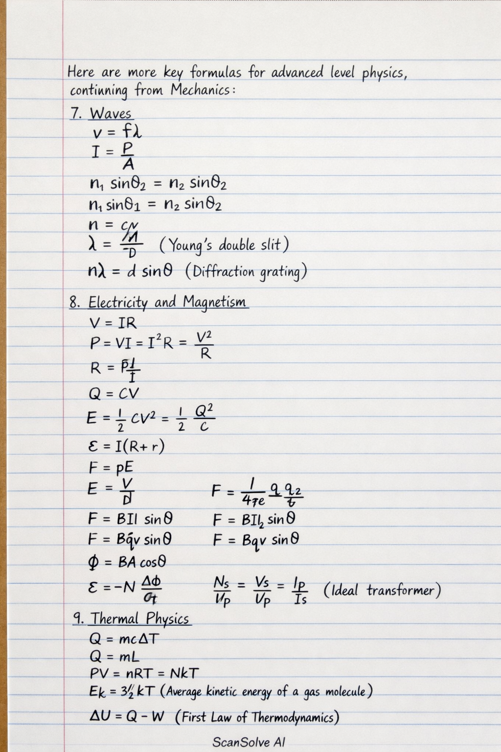
Here are more key formulas for advanced level physics, continuing from Mechanics:
7. Waves
v=fλ
I=AP
n1sinθ1=n2sinθ2
n=vc
λ=Dax(Young’s double slit)
nλ=dsinθ(Diffraction grating)
8. Electricity and Magnetism
V=IR
P=VI=I2R=RV2
R=AρL
Q=CV
E=21CV2=21CQ2
ε=I(R+r)
F=qE
E=dV
F=4πε01r2q1q2
F=BILsinθ
F=Bqvsinθ
Φ=BAcosθ
ε=−NΔtΔΦ
NpNs=VpVs=IsIp(Ideal transformer)
9. Thermal Physics
Q=mcΔT
Q=mL
PV=nRT=NkT
Ek=23kT(Average kinetic energy of a gas molecule)
ΔU=Q−W(First Law of Thermodynamics)
10. Modern Physics
E=hf=λhc
hf=ϕ+Ek,max(Photoelectric effect)
λ=ph=mvh(De Broglie wavelength)
E=mc2
N=N0e−λt
A=A0e−λt
T1/2=λln2
3 done, 2 left today. You're making progress.